| 제목 | 답변완료 질문 | ||
|---|---|---|---|
| 질문유형 | 강좌내용 | 교수님 | 김민우 |
| 과목 | 기초수학 | 강좌명 | |
| 작성자 | 여*빈 (n***********************c) | 등록일 | 2025-08-22 17:08 |
|
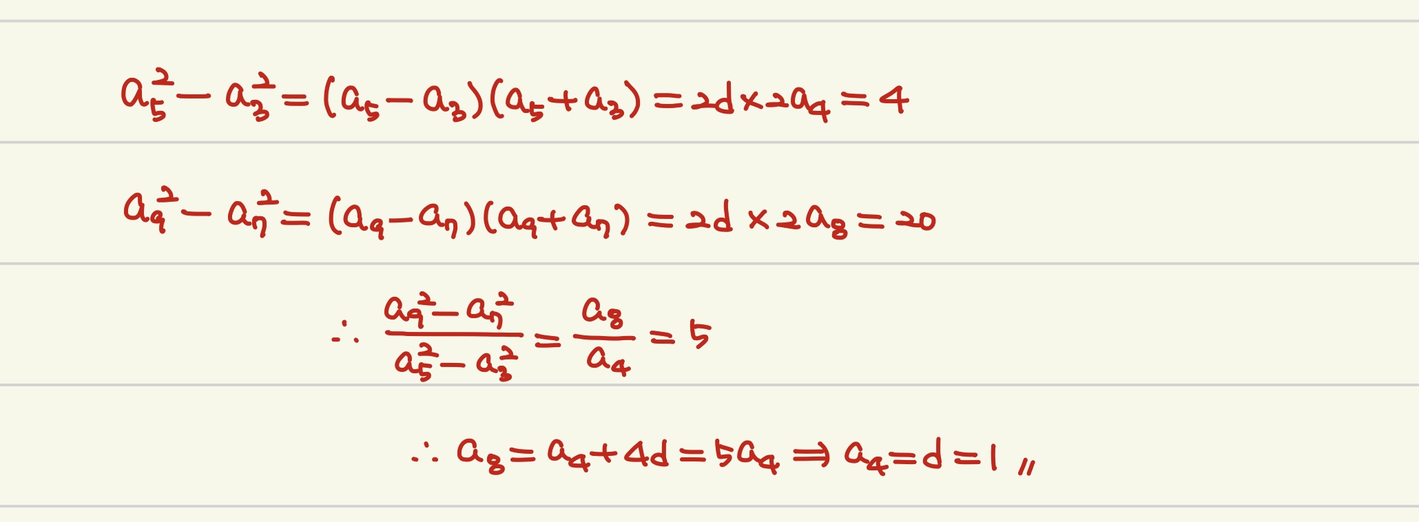
11강 34:06 에서 a4가 아니라 2a4가 들어가야 하는거 아닌가요. a5+a3의 값으롱ㅛ 그래서 d도 루트2가 아니라 1이 되고요 답변 완료된 질문과 답변은 수정 및 삭제가 불가합니다. |
|||
- 댓글
- 0
김*우
교수님
안녕하세요! 우선 질문을 늦게 확인하여서 죄송합니다!
영상을 확인한 결과 해당 부분에 대해서 풀이가 다소 잘못된 부분이 있었습니다.
풀이를 수정한 내용을 아래와 같이 올려드립니다!
추가적인 질의가 있으실 경우 언제든지 질문해주시기 바랍니다!
- 2025-12-10
- 2025-12-10 수정
























