| 제목 | 답변완료 공학수학1 / p115 / 예제1.3 | ||
|---|---|---|---|
| 질문유형 | 기타 | 교수님 | 임계수 |
| 과목 | 공학수학 | 강좌명 | [공학수학] 공학수학1 : 상미분방정식과 라플라스변환 |
| 작성자 | 이*호 (l********1) | 등록일 | 2026-02-23 16:21 |
| 첨부파일 | |||
|
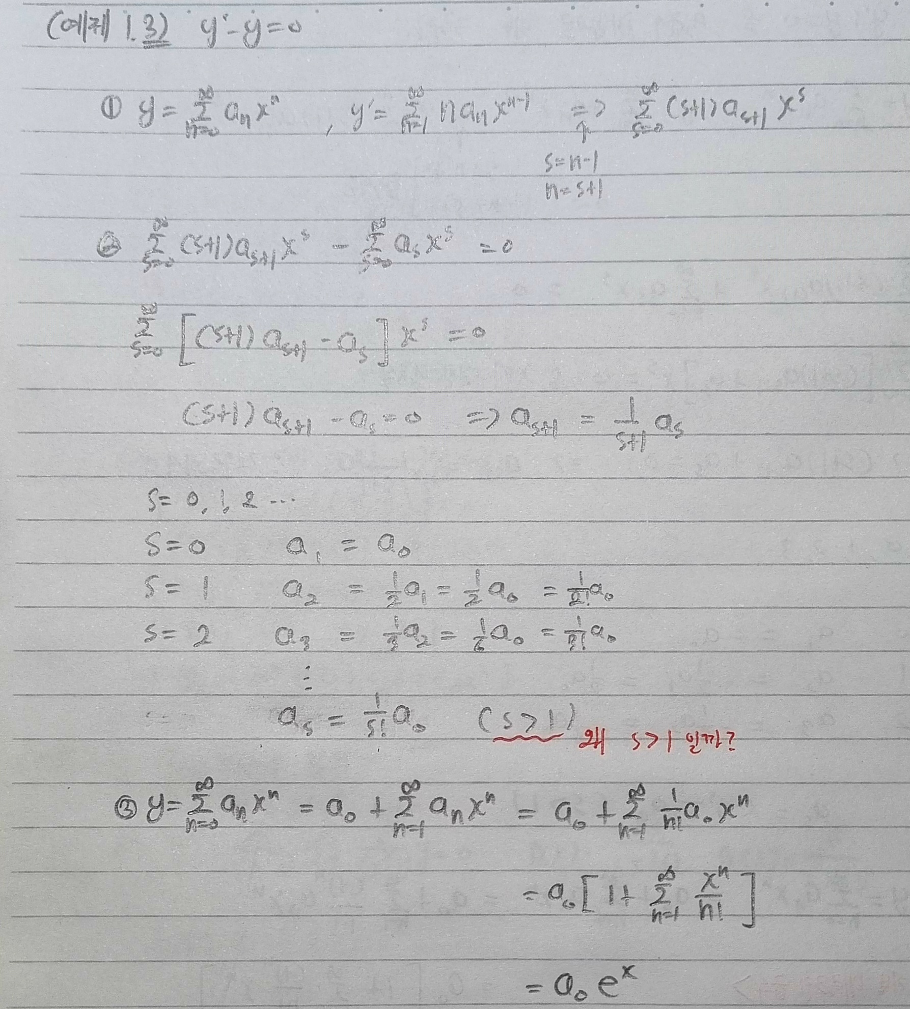
사진에서 빨간색으로 쓴 부분에 대한 질문입니다. s=0부터 대입을 했는데 일반항이 s>1에서만 해당된다는 것이 좀 어색합니다. [추가 질문] 문제 구조상 필연적으로 a_0가 앞으로 나와야 할 것 같다는 의심반 확신반이 있는데, 이 부분에 대해서도 왜 그런지 명확한 이유를 모르겠습니다. 답변 완료된 질문과 답변은 수정 및 삭제가 불가합니다. |
|||
- 댓글
- 0
관*자
안녕하세요.
유니스터디 임계수입니다.
질문에 대한 답변입니다.



- 2026-02-26























