| 제목 | 답변완료 공학수학1 / p82 / 예제 5.2 (2) | ||
|---|---|---|---|
| 질문유형 | 강좌내용 | 교수님 | 임계수 |
| 과목 | 공학수학 | 강좌명 | [공학수학] 공학수학1 : 상미분방정식과 라플라스변환 |
| 작성자 | 이*호 (l********1) | 등록일 | 2026-02-19 13:06 |
| 첨부파일 | |||
|
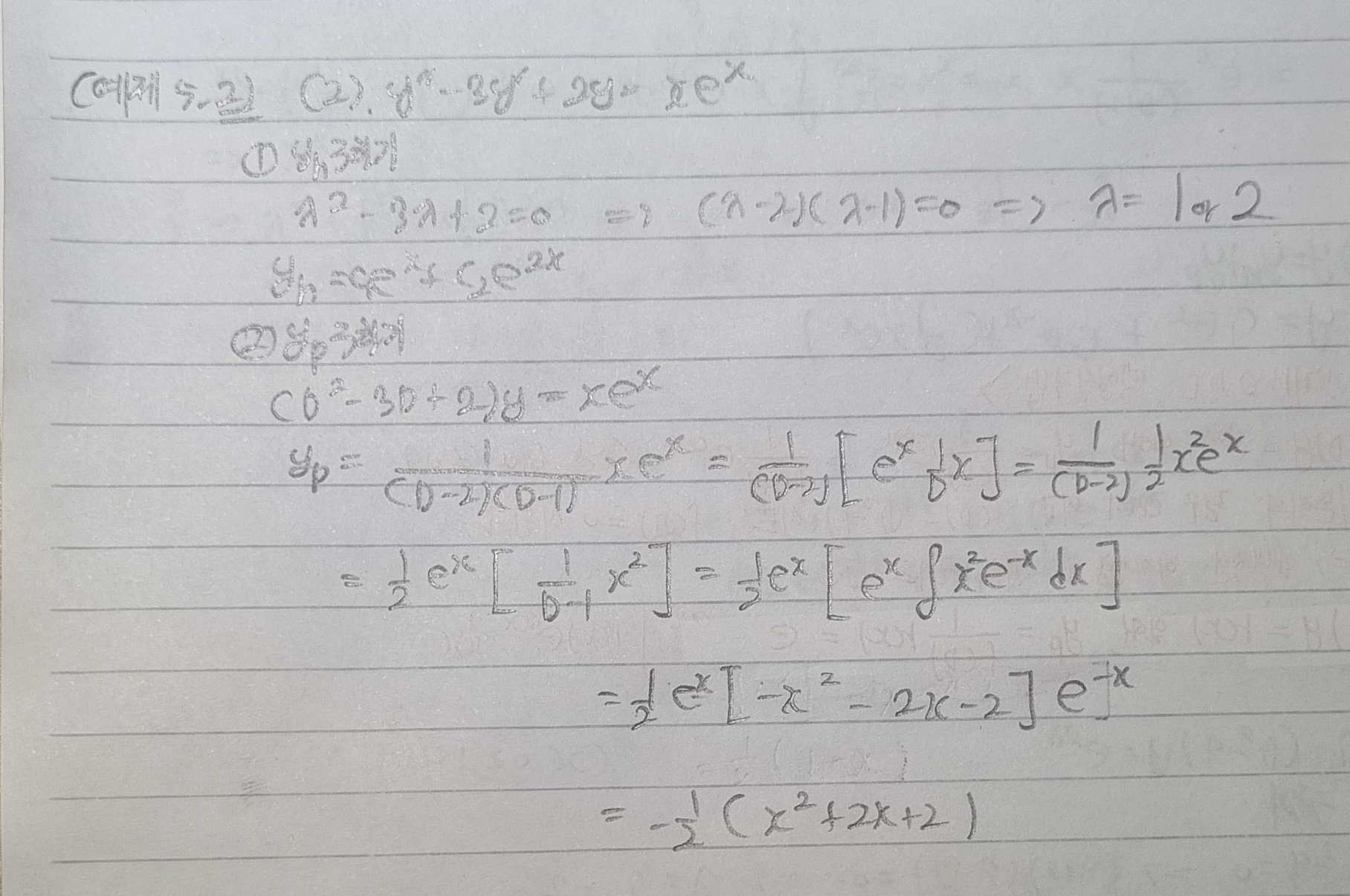
다른 예제를 포함해서 y_p를 구한 결과가 답지와는 다르지만 형식은 비슷한(이 문제의 경우 상수1개 차이, e^x 차이) 문제가 발생합니다. 풀이에서 어느 부분이 틀렸고, 왜 그렇게 하면 안되는 것인지가 궁금합니다. 아마 사소한 생각의 차이로 같은 문제가 반복되는 것 같아서 답답한 감이 있습니다. 답변 완료된 질문과 답변은 수정 및 삭제가 불가합니다. |
|||
- 댓글
- 0
관*자
안녕하세요.
유니스터디 임계수입니다.
질문에 대한 답변입니다.



- 2026-02-19























