| 제목 | 답변완료 공학수학 예제 질문 | ||
|---|---|---|---|
| 질문유형 | 기타 | 교수님 | 임계수 |
| 과목 | 공학수학 | 강좌명 | |
| 작성자 | 김*현 (n***********************f) | 등록일 | 2025-12-31 15:28 |
|
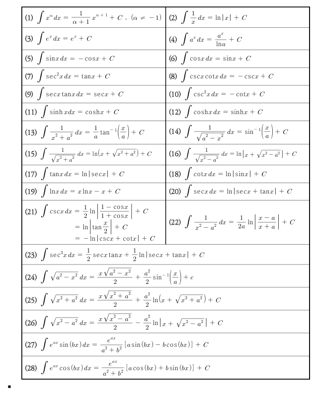
안녕하세요 교수님. 저 공학수학 수강생인데 다름이아니라 풀어주시지 않은 예제중에 못풀겠는게 나와서요. 파트1 - 예제 2.1 - (10)번 문제 풀이좀 알려주실 수 있을까요? 답변 완료된 질문과 답변은 수정 및 삭제가 불가합니다. |
|||
- 댓글
- 0
관*자



안녕하세요.
유니스터디 임계수입니다.
질문에 대한 답변입니다.



- 2026-01-06
























