| 제목 | 답변완료 미분적분학1기본 99p 예제7.9 질문 | ||
|---|---|---|---|
| 질문유형 | 강좌내용 | 교수님 | 임계수 |
| 과목 | 미분적분학 | 강좌명 | [미분적분학] 미분적분학1 기본 (이론+예제풀이) |
| 작성자 | 이*건 (n***********************0) | 등록일 | 2025-12-26 23:31 |
| 첨부파일 | |||
|
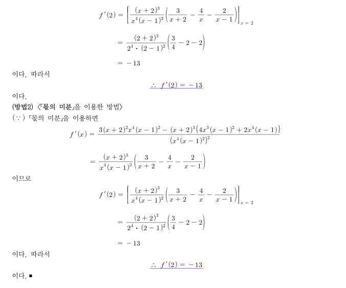
어떻게풀어야할지 모르겠습니다
답변 완료된 질문과 답변은 수정 및 삭제가 불가합니다. |
|||
- 댓글
- 0
관*자


안녕하세요.
유니스터디 임계수입니다.
질문에 대한 답변입니다.


- 2025-12-30
























