| 제목 | 답변완료 p.56 예제4.4 | ||
|---|---|---|---|
| 질문유형 | 기타 | 교수님 | 임계수 |
| 과목 | 공학수학 | 강좌명 | [공학수학] 공학수학 (핵심) |
| 작성자 | 홍*민 (j********5) | 등록일 | 2025-04-10 22:46 |
| 첨부파일 | |||
|
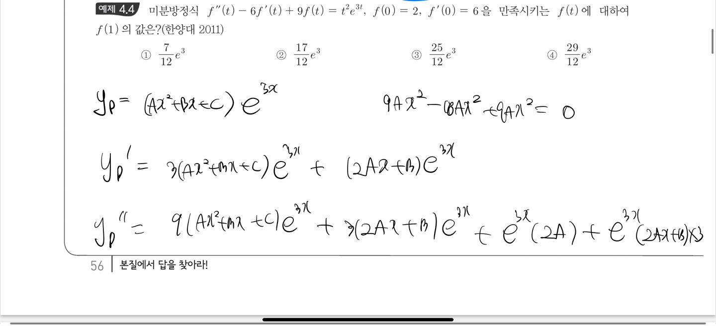
t^2*e^3t 항이 다 나라가는데 어떻게 풀어야할지 모르겠습니다.
답변 완료된 질문과 답변은 수정 및 삭제가 불가합니다. |
|||
- 댓글
- 0
관*자



안녕하세요.
유니스터디 임계수입니다.
질문에 대한 답변입니다.



- 2025-04-15























