| 제목 | 답변완료 공학수학1, p38, 예제8.1 | ||
|---|---|---|---|
| 질문유형 | 강좌내용 | 교수님 | 임계수 |
| 과목 | 공학수학 | 강좌명 | [공학수학] 공학수학1 : 상미분방정식과 라플라스변환 |
| 작성자 | 양*훈 (k***********************6) | 등록일 | 2025-03-20 23:18 |
| 첨부파일 | |||
|
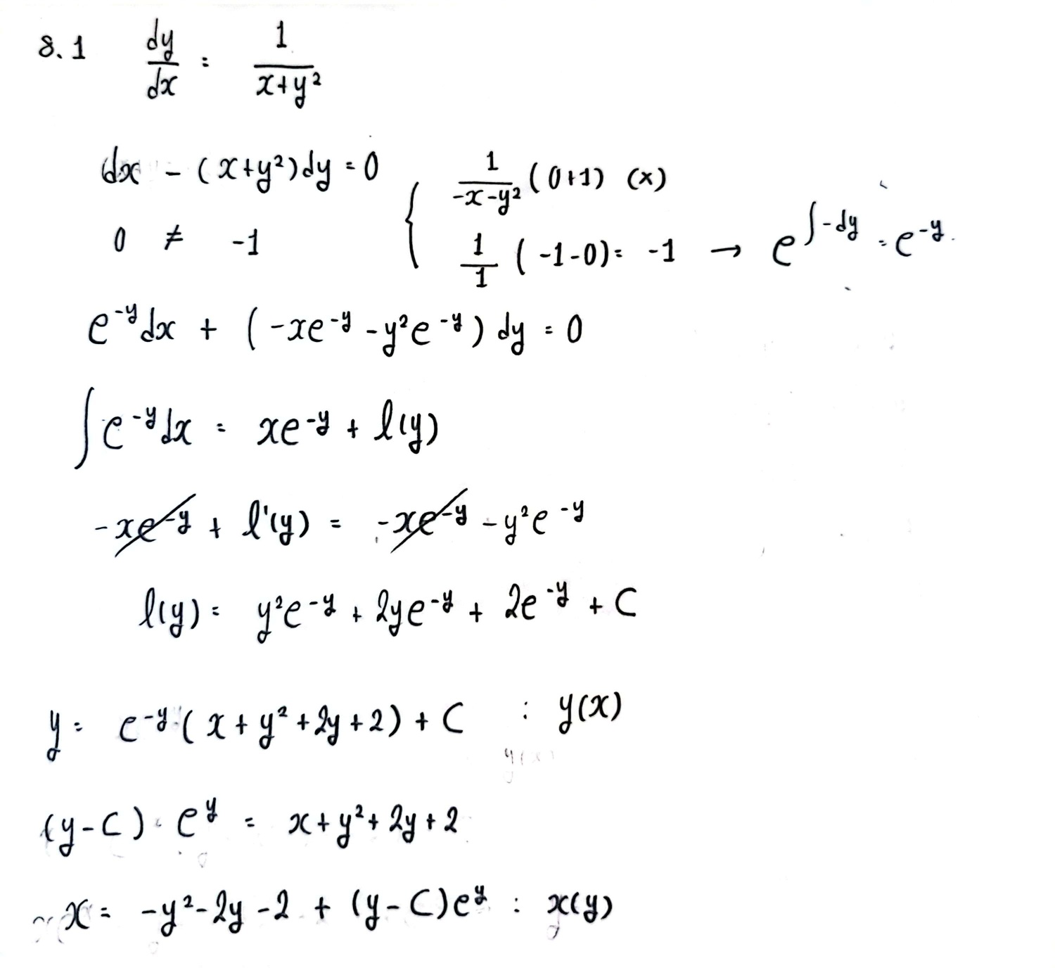
안녕하세요, 항상 양질의 강의 제공해 주셔서 감사합니다. 예제 8.1에 대해, 베르누이 방정식 풀이법으로는 잘 풀이가 되었습니다. 다만, 제가 적분인자법으로 풀이하여 y(x)꼴로 푼 후, x(y)로 바꾸어 주는 방법으로 풀어봤는데 답이 다르게 나와서 이에 대해 질문드리고 싶습니다. 적분인자법으로 풀이한 건 첨부한 사진과 같습니다. (답이 x = -y^2 -2y -2 + (y-C)e^y로 나오는 것) 잘 부탁드립니다! 답변 완료된 질문과 답변은 수정 및 삭제가 불가합니다. |
|||
- 댓글
- 0
관*자


안녕하세요.
유니스터디 임계수입니다.
질문에 대한 답변입니다.


- 2025-03-27























