| 제목 | 답변완료 p.240 예제5.2번 그린정리 관련 질문 | ||
|---|---|---|---|
| 질문유형 | 강좌내용 | 교수님 | 임계수 |
| 과목 | 미분적분학 | 강좌명 | [미분적분학] 편입생을 위한 미분적분학2 (핵심) |
| 작성자 | 이*찬 (d*********9) | 등록일 | 2025-01-10 19:03 |
| 첨부파일 | |||
|
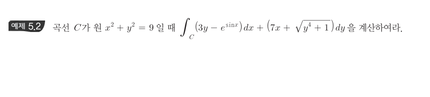
예제 5.2를 보면 곡선 C의 방향이 제시되어 있지 않은데, 강의에서는 그냥 반시계방향으로 가정하고 푸셨습니다. 그냥 일반적으로 방향이 제시되어 있지 않으면 양의 방향으로 생각하면 되는걸까요? 벡터장의 선적분에서는 곡선의 방향에 따라 부호가 바뀌니까 시계방향으로 계산하면 부호가 반대로 나와서 방향이 제시되어야 하지 않나 해서 질문드립니다. 답변 완료된 질문과 답변은 수정 및 삭제가 불가합니다. |
|||
- 댓글
- 0
관*자

안녕하세요.
유니스터디 임계수입니다.
질문에 대한 답변입니다.

- 2025-01-15
























