| 제목 | 답변완료 등가속도 운동 방정식 | ||
|---|---|---|---|
| 질문유형 | 강좌내용 | 교수님 | 이정욱 |
| 과목 | 일반물리학 | 강좌명 | |
| 작성자 | 양*영 (n***********************0) | 등록일 | 2026-04-15 18:45 |
|
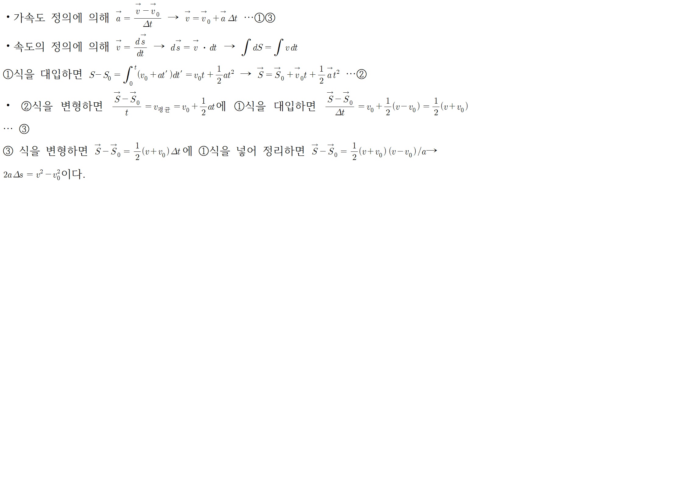
유도를 못하겠습니다ㅜㅜ 알려주실 수 있나요? 강의 정말 이해가 잘되고 잘 듣고 있습니다! 답변 완료된 질문과 답변은 수정 및 삭제가 불가합니다. |
|||
- 댓글
- 0























