| 제목 | 답변완료 10강 예제 5.6 관련 질문 드립니다. | ||
|---|---|---|---|
| 질문유형 | 강좌내용 | 교수님 | 이정욱 |
| 과목 | 일반물리학 | 강좌명 | [일반물리학] 서웨이(Serway) 대학물리학1 |
| 작성자 | 임*우 (d*******9) | 등록일 | 2026-02-01 20:56 |
| 첨부파일 | |||
|
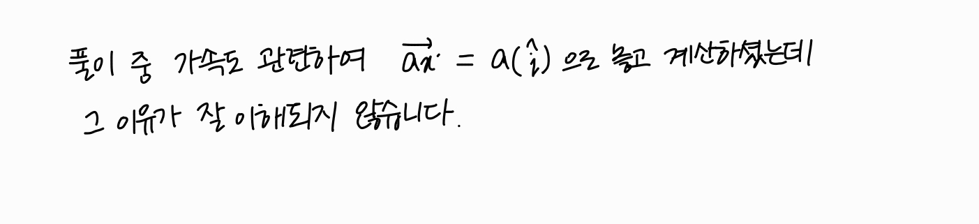
첨부파일로 질문 드립니다.
답변 완료된 질문과 답변은 수정 및 삭제가 불가합니다. |
|||
- 댓글
- 0
이*욱
교수님
안녕하세요. 이정욱 입니다.
두 물체의 기준 좌표계가 다릅니다.
m1인 물체는 수평면을 X축, 연직면을 Y축으로 설정한 것이고
m2인 물체는 빗면에 나란한 방향을 x축, 빗면에 대해 연직면 방향을 y축으로 설정한 것이라
그와 같이 가속도를 표현한 것입니다.
- 2026-02-08























