| 제목 | 답변완료 serway 대학물리학 드루드 모델 질문1 | ||
|---|---|---|---|
| 질문유형 | 강좌내용 | 교수님 | 이정욱 |
| 과목 | 일반물리학 | 강좌명 | |
| 작성자 | 김*우 (j**********0) | 등록일 | 2024-03-12 21:03 |
| 첨부파일 | |||
|
안녕하세요. 강의 내용과 교재 26장 3절을 읽고 헷갈리고 이해가 안 되는 부분이 있어 질문드립니다. 질문 1. 첫번째로 첨부한 그림과 같이, 뉴턴의 제 1법칙, 2법칙에 따라, 전자는 충돌 이후, 다음 충돌까지 마음대로 갑자기 방향을 바꿀 수 없고, 교재 26-3-(b)처럼 직선운동이 아니라, 포물선 운동을 한다고 생각되는데 맞나요??
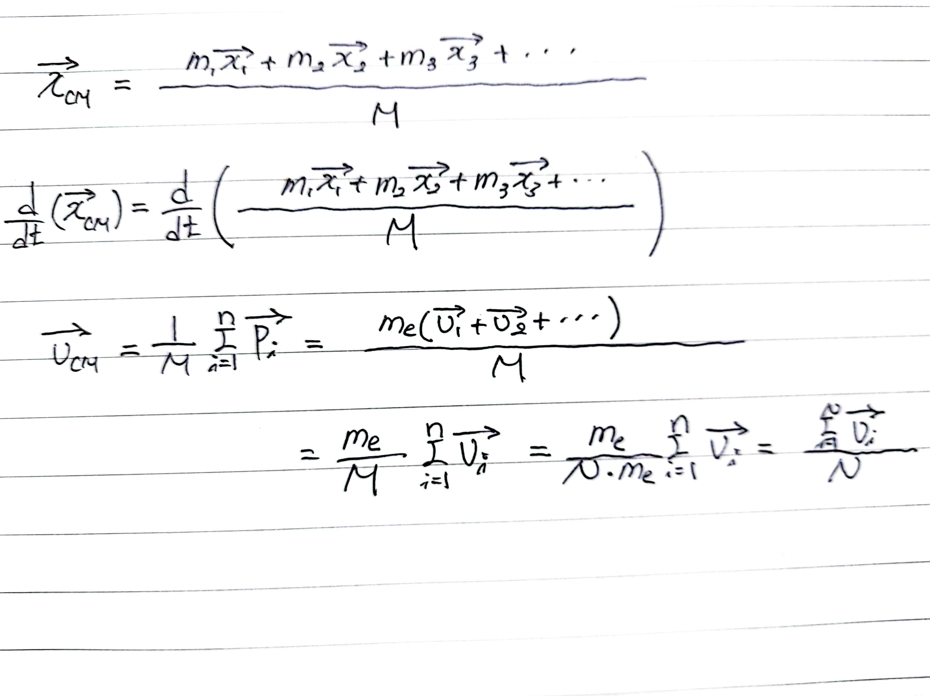
질문 2. 저는 유동속도를 임의의 시점에서 전자로 이루어진 계의 전기장 방향 성분(예를들어 x성분)인 병진속도라고 가정해보았습니다. 그러면 계의 병진속도는 질량중심의 속도와 같으므로 두번째 사진에 포함된 식에 의해 유동속도가 전자들의 전기장 방향 성분(예를들어 x성분) 인 병진속도의 산술평균이라는 결과가 나왔습니다. 두번째 사진에 계산한 결과처럼 유동속도를 이해하는 것이 맞나요?? 답변 완료된 질문과 답변은 수정 및 삭제가 불가합니다. |
|||
- 댓글
- 0
안녕하세요. 이정욱 입니다.
1) 드루드 모델을 이해함에 있어, 우선 자유전자의 상태를 고려해야 합니다.
자유전자는...인접한 원자에 의한 전기력의 영향을 받지 않은 상태라는 가정을 하고 있습니다.
또한 도체 내에서 아주 빠르게 움직이므로 궤적 자체는 의미가 없는 무작위적 운동을 한다고 가정합니다. 그러므로...아주짧은 순간에는 질문하신바와 같이 포물선 궤적을 그릴 수도 있지만..이또한, 무작위적 운동의 일부에 불과하다는 모델입니다.
그래서, 전자 하나하나의 궤적이 아니라..전체 위상이 전파되는 속도가 중요하게 측정되는 것입니다.
2) 1)의 질문과 연관되는 내용입니다. 무작위적 운동을 하기에 전자의 평균속도는 0이고, 운동량의 평균도 0이 됩니다.
유동속도는 입자의 이동속도가 아니라..위상의 전파 속도라는 점을 이해하셔야 합니다.
- 2024-03-14
- 2024-12-12 수정























