| 제목 | 답변완료 serway 대학물리학 교재 25장 5절 p626 질문 | ||
|---|---|---|---|
| 질문유형 | 기타 | 교수님 | 이정욱 |
| 과목 | 일반물리학 | 강좌명 | |
| 작성자 | 김*우 (j**********0) | 등록일 | 2024-03-12 19:56 |
| 첨부파일 | |||
|
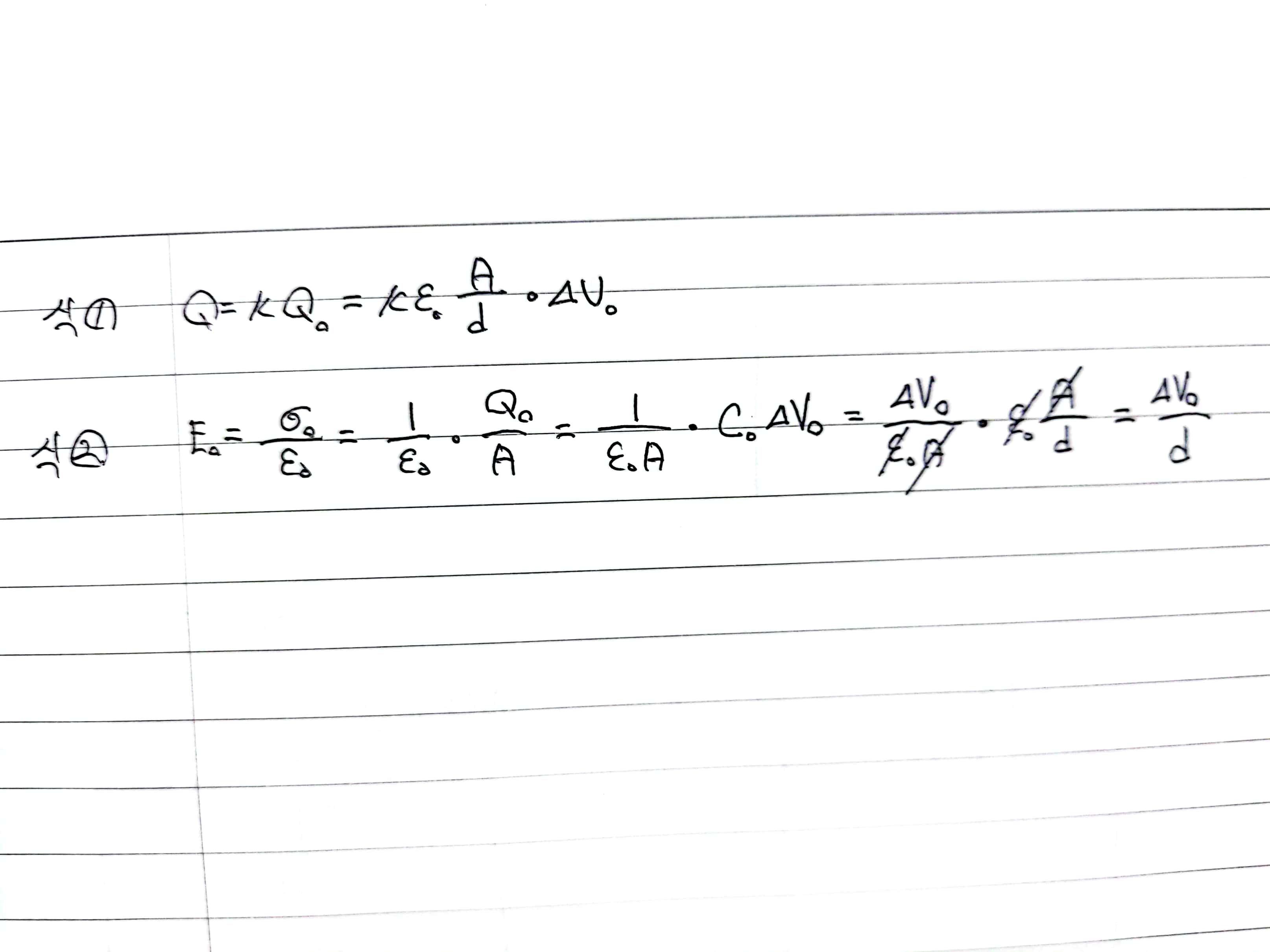
교재의 해당 페이지의 10~15번째 줄을 보면, "판 사이에 유전체를 넣고, 판 사이의 거리를 감소시키면 전기용량이 매우 증가할 것 같으나, 유전 강도 때문에 한계가 있다"고 적혀있습니다. 스스로 이 말 뜻을 생각해보았는데 맞는지 확인하고자 합니다. 제 생각은 첫번째 첨부 그림과 같이, 최대한 고전압의 전지를 연결한 상태에서, 축전기의 두 극 판 사이의 거리를 최소로 줄이면, 2번째 첨부 그림의 식 1에 의해 매우 많은 전하를 저장할 수 있을 것 같다. 하지만 전기장의 크기가 유전 강도에 비해 크면, 축전기와 유전체 사이에 전기장이 만들어내는 힘으로 전하 이동으로 인한 방전이 발생 즉, (유전체가 전기적 성질을 띠는 방법은 `결합을 유지한 채` 유전 분극이 일어나기 때문인데), 결합이 깨져버려 전도체가 되므로 전기장의 크기에는 한계가 있다. 따라서 2번째 첨부 그림 식 2에 의해 정해진 축전기 사이의 거리 d에 대하여 처음 전위차의 값의 최대가 정해져 있으므로 식 1의 전하량 Q는 커질 수 있는 값에 한계가 있다. 교재의 해당 부분을 이렇게 이해해도 될까요?? 답변 완료된 질문과 답변은 수정 및 삭제가 불가합니다. |
|||
- 댓글
- 0
안녕하세요. 이정욱 입니다.
네~ 유전강도는 질문하신 내용으로 이해하시면 됩니다.
축전기내에 전하가 충전되어 있을 때, 유의미해 지는데...방전이 일어나게 되면, 축전기의 성질을 일부 잃게 됩니다.
- 2024-03-14
- 2024-12-12 수정























