| 제목 | 답변완료 serway 대학물리학 교재 24장 예제 24-5 질문 | ||
|---|---|---|---|
| 질문유형 | 기타 | 교수님 | 이정욱 |
| 과목 | 일반물리학 | 강좌명 | |
| 작성자 | 김*우 (j**********0) | 등록일 | 2024-01-28 22:07 |
| 첨부파일 | |||
|
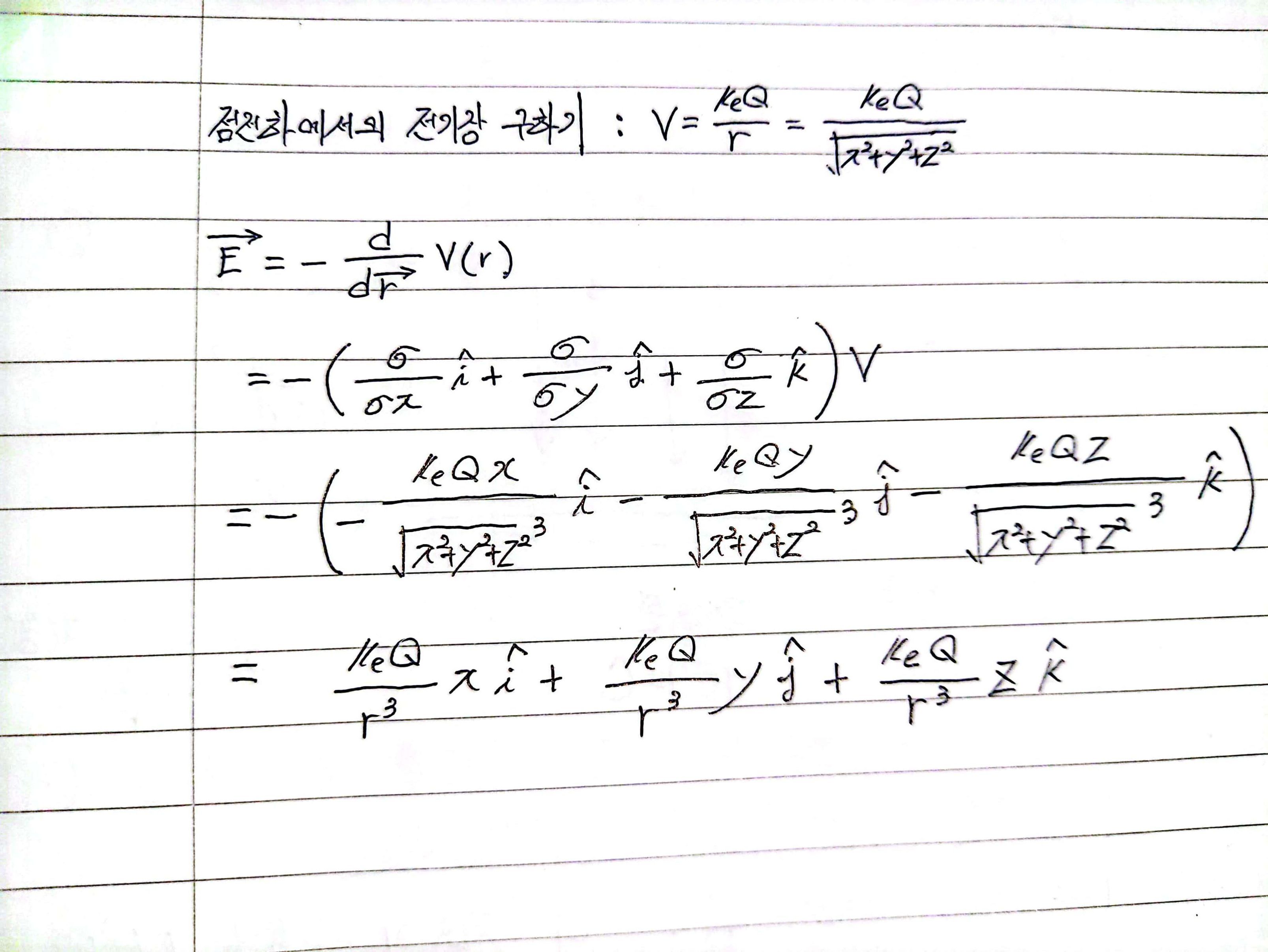
안녕하세요, 제가 해당 예제를 풀던 중 잘못 접근한 부분에 대해 고민한 것을 확인하고자 질문드립니다. 먼저 저는 해당 예제에서 (B) 과정으로 넘어갈 때, 전위 KQ/r을 r에 대하여 미분하였습니다. 하지만 이 문제를 보면 x에 대해 미분해야하였고, 이 과정에서 왜 r로 미분하면 안 되는지, r로 미분하는 것이 어떤 의미인지, 이것이 점전하에서의 전위를 r로 미분해도 문제 없는 것과 어떤 차이점이 있는지 고민해보았습니다.
1. 첫번째 질문은 왜 r에 대하여 미분하면 안 되는지, r로 미분하는 것은 x에 대하여 미분하는 것과 어떤 차이가 있는지에 대해 고민해보았습니다. 그 결과, x,y,z,축 중 해당 축 방향의 전기장을 구하려면, 해당 축 방향의 전위차를 해당 축 방향으로의 변위로 미분해야 하는데, 제가 처음에 한 KQ/r의 r에 대한 미분은 r=(a^2+x^2)^1/2에서 a, x를 모두 변수로 두는 것이라 잘못된 것이다. 아울러 제가 처음에 구한 KQ/r의 r에 대한 미분은 r 방향의 전기장을 의미하는 것이라, 이 문제에서는 이미 전기장의 방향을 x축으로 두었으므로 문제의 상황과 맞지 않다.고 결론지었습니다. 제 생각에 틀린 점은 없을까요??
2. 그리고, 점전하에 의한 전기장을 구할 때, r로 미분해도 상관 없는 것과 이 문제가 어떤 차이점이 있는지에 대해 고민해보았습니다. 그 결과, 점전하에 의한 전기장은 애초에 r(반지름) 방향이라, 문제가 없지만, 이 문제는 전기장이 r 방향이 아니라 문제가 있다고 결론지었습니다. 이 생각에도 틀린 점은 없을까요??
3. 마지막으로 이 과정에서 점전하에 의한 전기장을 구하던 중, 각 축에서의 전기장의 크기가 다음의 첨부 파일과 같이 나왔습니다, 만약 r=5이고, x=1, y=루트15, z=3이라면, 해당 결과에 따른다면 r=5 지점에 1C의 가상의 전하가 있을때, x 축 방향으로는 KQ/5^3 x 1의 전기력을 받는다는 말이됩니다. 그런데 이것이 1C의 가상의 전하가 y, z만 다르고 x축은 유지되어, x=1, y=z=0에 있다면, KQ/1의 전기력을 받을텐데, 결과가 위와 다르게 나오는 것이 문제가 없는 건가요?? 답변 완료된 질문과 답변은 수정 및 삭제가 불가합니다. |
|||
- 댓글
- 0
안녕하세요.
우선, 원천전하로 부터 거리 r은 (x, y, z) 성분을 모두 포함하고 있습니다.
이중 고리의 중심축을 x축이라고 할 때... 전위에 대한 표현을 x에 대해서만 나타내었으므로 x축 성분에 대한 전위의 변화...즉 전위의 x 변화율을 통해 전기장의 x성분만 구할 수 있습니다.
만약, 고리의 중심선 외의 위치에서 (x,y,z)를 포함한 임의의 지점에 대해 전위를 나타낸다면...비록 계산은 복잡하지만.. 각 방향의 전기장 성분을 구할 수 있습니다. 정리하면...우리의 관심사가 x축 성분이었기 때문에...변수를 간단히 표현하기 위해..r을 그와 같이 나타낸 것이고, 이를 미분을 통해 전기장 성분을 계산했다고 할 수 있습니다.
두번째는...전하의 분포에 따라 전기장의 방향과 크기는 다릅니다.
직교 좌표계에서 측정한다면..x,y,z 세개의 성분으로 나타내는 것이고
원통 좌표계에서 측정한다면,..r,θ,z 세개의 성분으로 나타내는 것이고
구좌표계에서 측정한다면...r,θ ,φ 세 개의 성분으로 나타내는 것입니다.
전위를 구한 다음...위의 좌표계에서 원하는 성분의 미분을 통해 원하는 전기장 성분을 구할 수 있는 것입니다.
단순히 전기장이 r방향이 아니라서는 적절치 않아 보입니다.
세번째는...질문이 내용 확인바랍니다.
r=5 인데...x=1이고, y=z=이면..r은 5가 아니게 됩니다.
- 2024-02-08
- 2024-12-12 수정























