| 제목 | 답변완료 Imidazole | ||
|---|---|---|---|
| 질문유형 | 기타 | 교수님 | 윤관식 |
| 과목 | 유기화학 | 강좌명 | [유기화학] A.C.E 유기화학1+2 패키지 |
| 작성자 | 남*섭 (n*****3) | 등록일 | 2025-08-28 15:03 |
| 첨부파일 | |||
|
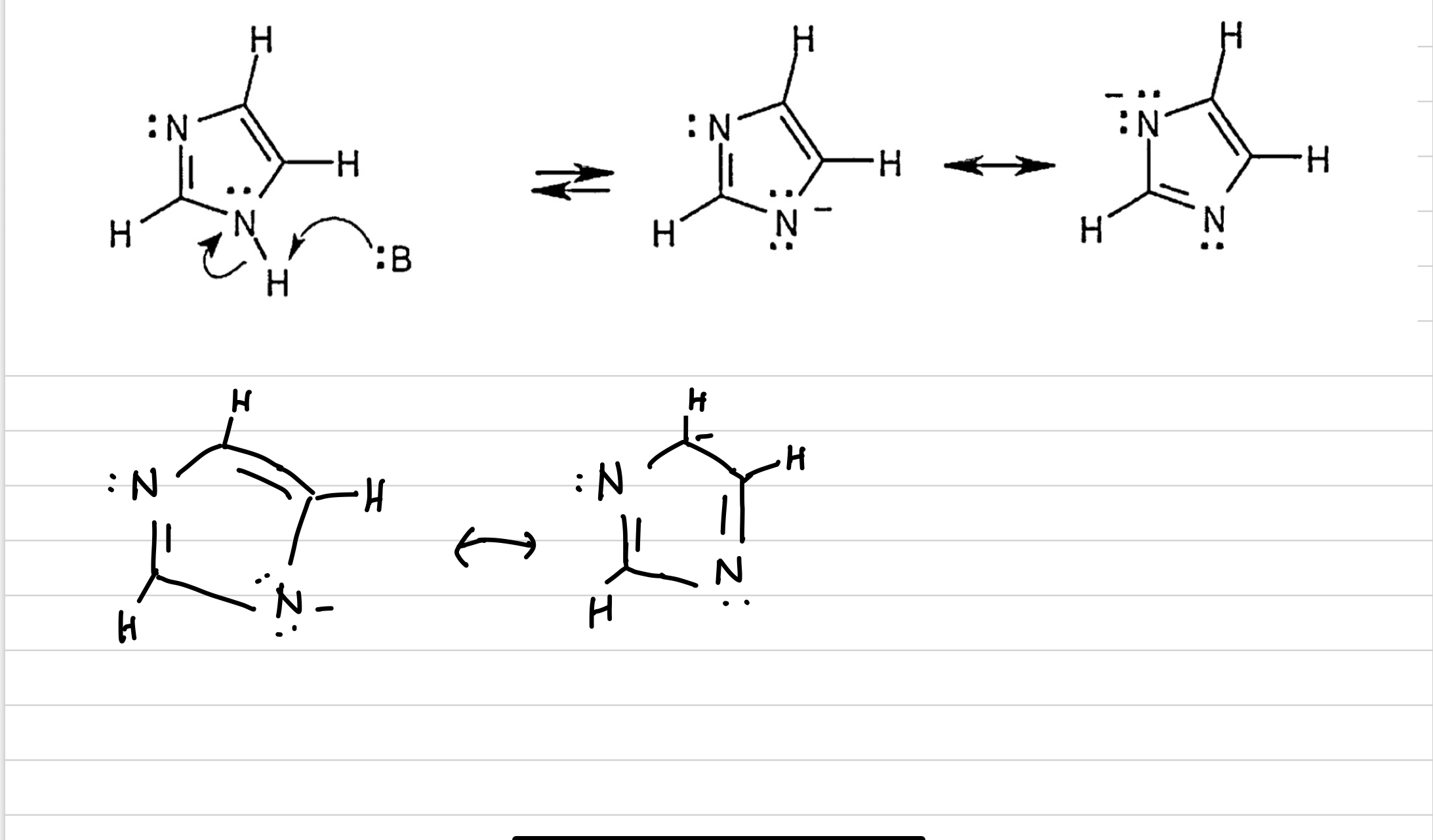
맥머리 전공책 2-18번 문제를 풀다가 공명구조를 그리는 문제에서 그림과 같이 구조가 되는것인지 궁금합니다. 답변 완료된 질문과 답변은 수정 및 삭제가 불가합니다. |
|||
- 댓글
- 0
윤*식
교수님
안녕하세요~
물론입니다. 공명구조가 맞고 잘 그리셨습니다.
그럼 열공하세요~
홧팅~!!
- 2025-09-10























