| 제목 | 답변완료 [smith 유기화학] epoxide / # 9.60, 11.41 | ||
|---|---|---|---|
| 질문유형 | 강좌내용 | 교수님 | 윤관식 |
| 과목 | 유기화학 | 강좌명 | [유기화학] A.C.E 유기화학1 |
| 작성자 | 최*연 (c*********i) | 등록일 | 2025-06-16 00:03 |
| 첨부파일 | |||
|
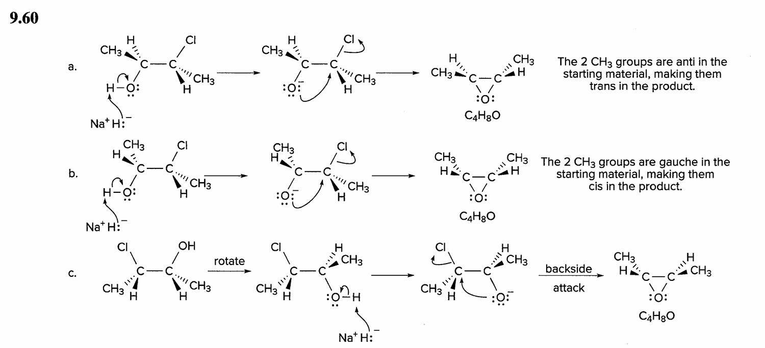
안녕하세요! 사진 1은 스미스 유기화학 교재의 9단원 60번 문제의 솔루션입니다. 여기에서는 친핵체가 epoxide를 공격할 때, 입체반전이 일어나지 않았고, 옆 설명에도 trans 또는 cis 관계를 유지한다고 되어있는데, 반전이 일어나 공격을 받은 쪽의 메틸기와 수소의 wedge와 dash 관계가 바껴야 하는 건지, 옆 설명대로 trans/cis 관계를 유지해야 하는 건지 궁금합니다. 그리고 사진 2(11장 41번)의 a는 공격 받은 쪽에 입체반전이 일어나서 중수소의 wedge/dash가 바꼈는데, c에서는 바뀌지 않아서 제가 어떤 부분을 놓치고 있는 건지 모르겠습니다 ㅜㅜ oxirane의 경우에는 입체반전보다 trans/cis 관계 유지로 생각하고 문제를 풀어야 할까요? 답변 완료된 질문과 답변은 수정 및 삭제가 불가합니다. |
|||
- 댓글
- 0
안녕하세요 ^^
사진 1
해당 문제는 분자내 williamson ether 합성법으로 할로하이드린으로 에폭사이드를 SN2로 만드는 방법입니다.
우선 에폭사이드를 공격한 것은 아닙니다.
생성물을 분자내 SN2로 얻는 과정에서 이탈기인 Cl의 180도 후방에서 공격을 했기에 chiral 탄소의 입체배열은
반전되었습니다. a의 경우 Cl이 있는 chiral 탄소의 입체배열은 (R)이고 생성물에서 같은 위치 탄소의 입체배열은 (S)
으로 바뀌었으니까요. 다만, 쐐기/대쉬부분은 Cl의 180도 후방에서 공격했을뿐이며 사면체 구조를 유지해야 하기에
아래쪽을 향하고 있던 H와 CH3가 위쪽방향으로 올라갈 뿐 쐐기와 대쉬가(앞과 뒤가) 바뀌지는 않기에 반응물에서
CH3가 쐐기 대쉬 였으니 생성물에서도 CH3가 쐐기/대쉬로 유지되어 생성된 에폭사이드의 입체배열이 trans인 것입니다.
b는 대쉬 대쉬 였으니 생성물은 cis인것이구요.
c는 반응물이 분자내 SN2하기위해 180도 회전해야 하므로 반응물에서 CH3는 대쉬/대쉬 였지만 생성물에서는 쐐기/대쉬
가되어 trans가 된것 뿐입니다.
사진 2
a. 는 책에 그림을 그린 분이 그렇게 그렸을뿐 중요한 점은 SN2에 의해 반응물은 (R) 생성물은 (S)로 반전이 되었음을 의미합니다.
그림을 어떻게 그리든 입체배열이 반전되도록만 표현하면 되기에 그림을 그린 분이 그렇게 그렸을 뿐이고 만일 HCC-가 공격한
방향에 결합되도록 그린다면 쐐기인 H와 대쉬인 D의 쐐기, 대쉬를 바꾸지 않고 그대로 유지하면서 위쪽방향으로 그리면 그 또한
(S)배열이기에 정답이라고 할 수 있습니다.
Q. oxirane의 경우에는 입체반전보다 trans/cis 관계 유지로 생각하고 문제를 풀어야 할까요? NO(아닙니다.)
그럼 열공하세요~
홧팅~!!
- 2025-07-06
























