| 제목 | 답변완료 ElcB반응이 일어나는 이유 추가질문 | ||
|---|---|---|---|
| 질문유형 | 강좌내용 | 교수님 | 윤관식 |
| 과목 | 유기화학 | 강좌명 | [유기화학] A.C.E 유기화학1 |
| 작성자 | 주*린 (h****7) | 등록일 | 2025-06-05 09:50 |
| 첨부파일 | |||
|
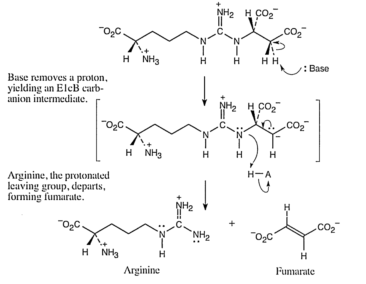
지난 질문에 대한 답변 감사합니다. 그렇다면 베타하이드록시 카보닐에선 나쁜 이탈기인 OH를 버리는게 유리하고 베타할로카보닐에선 이중결합을 끊어내는게 쉽다는 것 같습니다. 왜 그런 것인가요? 특히 Cl,Br,I와 같은 좋은 이탈기여도 파이결합끊어내는게 더 유리하다는 점이 이해되지 않습니다. 사진에서 보면 1)N 옆 2번째자리가 베타수소맞나요?(무슨 기준으로 해당위치가 베타인가요? 2)E1CB조건에 산이 필수요건이 아니었는데 해당반응에선 질소가 산을 공격해야합니다. 왜 그런가요? 3. 나쁜이탈기가 어느부분인가요?? 반응이 자연스레 그림과 같이 진행된다는 점이 납득되지 않습니다ㅠ 기말고사 기간이라 빠른 답변 부탁드리며 답변 미리 감사합니다. 좋은 하루되시길 바랍니다. 수강생 주*린 드림. 답변 완료된 질문과 답변은 수정 및 삭제가 불가합니다. |
|||
- 댓글
- 0
안녕하세요
Q. 베타하이드록시 카보닐에선 나쁜 이탈기인 OH를 버리는게 유리하고 베타할로카보닐에선 이중결합을 끊어내는게 쉽다는 것 같습니다.
<o:p></o:p>
A. 그런 의미가 아닙니다.

위의 그림에서 보듯이 E1cB와 E2를 비교한다면 파이결합이 끊어지는 쪽으로의 전자이동이 시그마 결합을 끊는 쪽으로의 전자이동보다 우세하다는
의미이며, 이는 X, OH 모두 마찬가지 입니다.
<o:p></o:p>
1. 카보닐을 기준으로 한 칸 옆이 알파, 그 다음이 베타입니다. 지금의 그림에서는 CO2- 를 기준으로 판단하면 됩니다.
이유는 작용기 우선권을 고려하기 때문입니다.
<o:p></o:p>
2. OH 가 이탈할때도 아래와 같이 양성자를 붙잡고 H2O로 떨어지는게 우세하듯이 질문하신 내용도 마찬가지 입니다.
<o:p></o:p>
3. 베타-할로 카보닐의 경우는 이탈기여도(Cl, Br, I) E1cB가 일어난다는 것이 답변의 앞부분 그림에 표현되어 있습니다.
<o:p></o:p>
질문하신 구조에서는 arginine의 이탈기로서의 능력을 딱 잘라 말할수는 없으나 공명이 가능하므로 나쁜이탈기라고 보기는 어렵습니다.
그럼에도 E1cB인 이유가 무엇이냐? 라면 다시 말씀드리지만 맨 처음 답변에 있는 그림처럼 베타-할로 카보닐과 같은 구조는 E1cB가
우세한 구조이기 때문입니다.
<o:p></o:p>
<o:p></o:p>
그럼 열공하세요~
홧팅~!!
- 2025-06-06
























