| 제목 | 답변완료 치환기 관용명 | ||
|---|---|---|---|
| 질문유형 | 강좌내용 | 교수님 | 윤관식 |
| 과목 | 유기화학 | 강좌명 | [유기화학] A.C.E 유기화학1+2 패키지 |
| 작성자 | 김*우 (k***********************f) | 등록일 | 2025-04-16 00:40 |
| 첨부파일 | |||
|
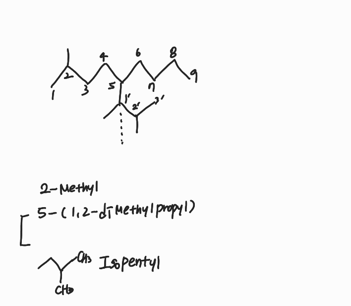
저 골격구조식에 달려있는 치환기 관용명 저렇게 써도 되나용?
답변 완료된 질문과 답변은 수정 및 삭제가 불가합니다. |
|||
- 댓글
- 0
윤*식
교수님
안녕하세요
안됩니다.
1'에 methyl이 없다면 isobutyl이라고 표현하는 것은 가능하지만요.
그럼 열공하세요~
홧팅~!!
- 2025-04-17
























