| 제목 | 답변완료 구조역학 10강 / 25분55 | ||
|---|---|---|---|
| 질문유형 | 강좌내용 | 교수님 | 공혜은 |
| 과목 | 구조역학 | 강좌명 | [구조역학] 토목과를 위한 구조역학 초스피드 개념완성 |
| 작성자 | 최*훈 (5********0) | 등록일 | 2026-03-10 20:09 |
| 첨부파일 | |||
|
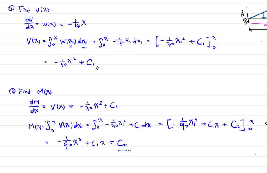
전단력 선도와 모멘트 선도 구할때 정적분 하면 적분상수 c1, c2가 사라져야하지 않나요?
답변 완료된 질문과 답변은 수정 및 삭제가 불가합니다. |
|||
- 댓글
- 0
공*은
교수님
안녕하세요.
좋은 질문 감사합니다.
수업에서는 적분 구간을 0부터 x까지로 표현했지만, 실제로는 경계조건이 주어지지 않은 상태이기 때문에 부정적분과 동일하게 적분상수 C1, C2가 포함되어야 합니다.
즉,
와 같이 쓰더라도, 기준점 x=0 에서의 전단력 값 V(0)이 주어지지 않으면
이는
와 같은 의미가 됩니다.
모멘트도 마찬가지로 경계조건(예: 특정 지점에서 M=0)이 주어져야 적분상수가 결정됩니다.
정적분 형태로 표기한 부분은 기준점을 잡기 위한 표현이며, 해당 지점에서의 값이 주어지지 않으면 적분상수는 그대로 남게 됩니다.
혼동이 없으시기 바랍니다.
감사합니다.
- 2026-04-16
- 2026-04-16 수정























