| 제목 | 답변완료 문제를 잘 모르겠습니다 | ||
|---|---|---|---|
| 질문유형 | 강좌내용 | 교수님 | 임계수 |
| 과목 | 미분적분학 | 강좌명 | [미분적분학] 미분적분학1 기본 (이론+예제풀이) |
| 작성자 | 신*윤 (k***********************c) | 등록일 | 2026-03-08 21:17 |
|
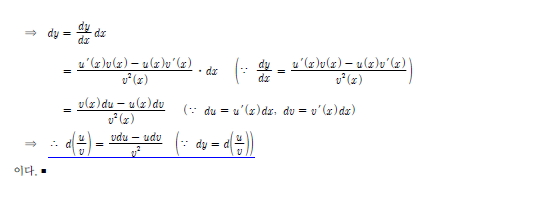
4.1의 선형근사와 미분에서 예제 1.8이랑 예제1.9를 아예 모르겠어서 그런데 혹시 풀이 좀 알려주실 수 있나요?
답변 완료된 질문과 답변은 수정 및 삭제가 불가합니다. |
|||
- 댓글
- 0
관*자



안녕하세요.
유니스터디 임계수입니다.
질문에 대한 답변입니다.



- 2026-03-10























