| 제목 | 답변완료 공학수학1 / p76 / 예제 4.4 | ||
|---|---|---|---|
| 질문유형 | 강좌내용 | 교수님 | 임계수 |
| 과목 | 공학수학 | 강좌명 | [공학수학] 공학수학1 : 상미분방정식과 라플라스변환 |
| 작성자 | 이*호 (l********1) | 등록일 | 2026-01-28 13:44 |
| 첨부파일 | |||
|
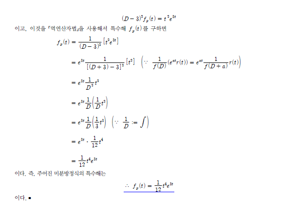
비제차항과 비교해서 D=3으로 두면 특수해의 t^2의 계수가 0이되서 죽어버립니다. 계산과정에서는 틀린 부분을 못찾겠어서 질문 드립니다. 사진에서 가운데의 X부분은 계산이 잘못되었나 싶어서 지운 부분입니다. 근데 다시 계산해봐도 t^2이 죽어버립니다. 미정계수법은 너무 오래걸리고 실수가 잦은 방법이라는건 알았습니다.. 답변 완료된 질문과 답변은 수정 및 삭제가 불가합니다. |
|||
- 댓글
- 0
관*자



안녕하세요.
유니스터디 임계수입니다.
질문에 대한 답변입니다.



- 2026-01-29
























