| 제목 | 답변완료 미분적분학1 심화 // 211p // 5.41번 | ||
|---|---|---|---|
| 질문유형 | 학습방법 | 교수님 | 임계수 |
| 과목 | 미분적분학 | 강좌명 | [미분적분학] 미분적분학1 심화 (종합문제풀이) |
| 작성자 | 곽*희 (n***********************5) | 등록일 | 2025-12-12 17:07 |
| 첨부파일 | |||
|
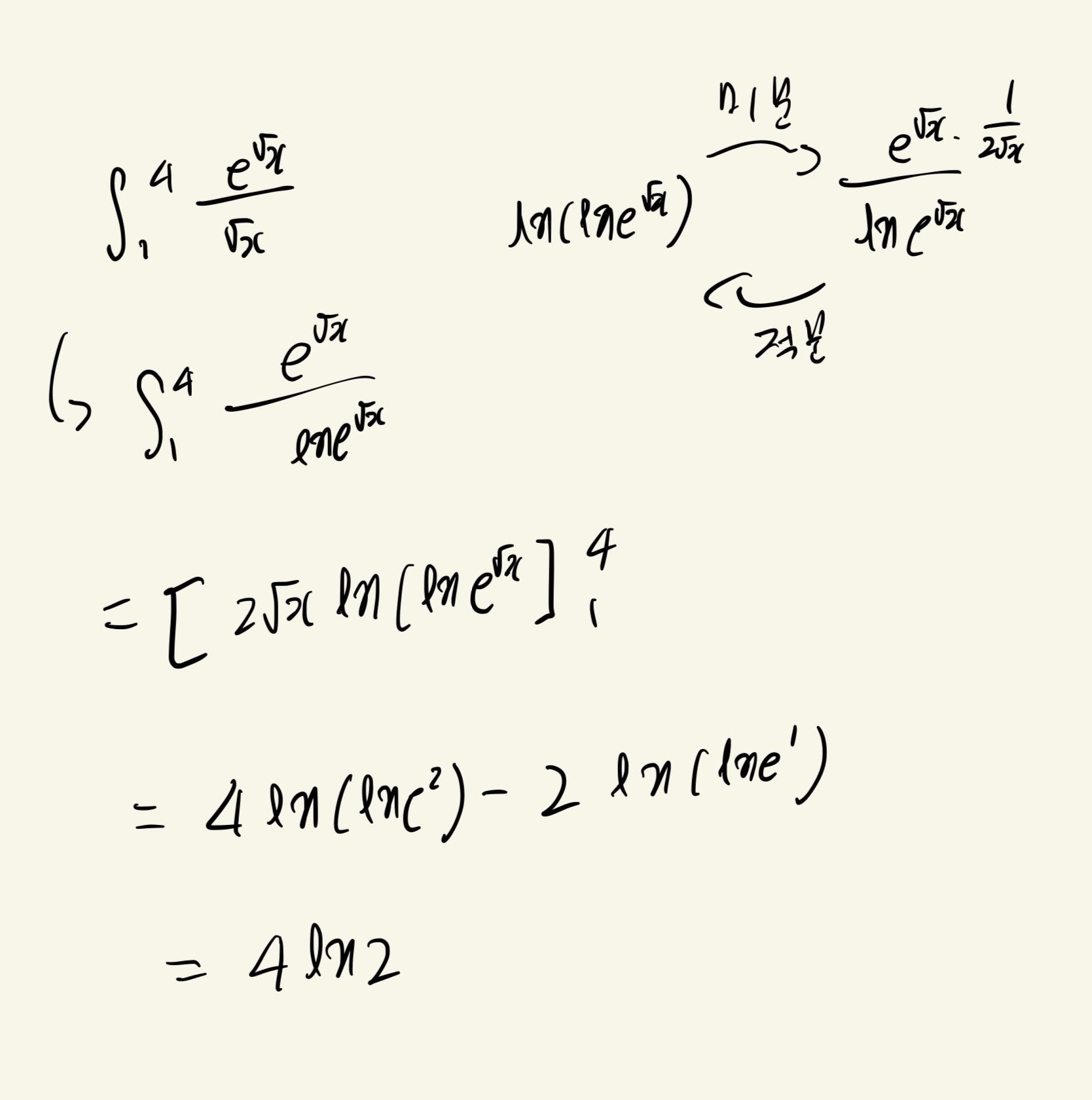
루트x를 t로 치환해서 x=t^2으로 푸는걸로 해결하긴 했습니다만 풀다가 사진처럼도 접근을 해봤는데 왜 저 접근이 틀린지 잘 모르겠습니다 루트x가 분모에 있으니 x는 0이아니고 양수면 저렇게 풀어도 풀이가 되어야 한다고 생각하는데 엉뚱한 답이 나와 질문드립니다 답변 완료된 질문과 답변은 수정 및 삭제가 불가합니다. |
|||
- 댓글
- 0
관*자


안녕하세요.
유니스터디 임계수입니다.
질문에 대한 답변입니다.


- 2025-12-17
























