| 제목 | 답변완료 미분적분학1 심화 // 53p // 종합1.2번의 (8)번 질문입니다 | ||
|---|---|---|---|
| 질문유형 | 강좌내용 | 교수님 | 임계수 |
| 과목 | 미분적분학 | 강좌명 | [미분적분학] 미분적분학1 심화 (종합문제풀이) |
| 작성자 | 곽*희 (n***********************5) | 등록일 | 2025-11-17 18:14 |
| 첨부파일 | |||
|
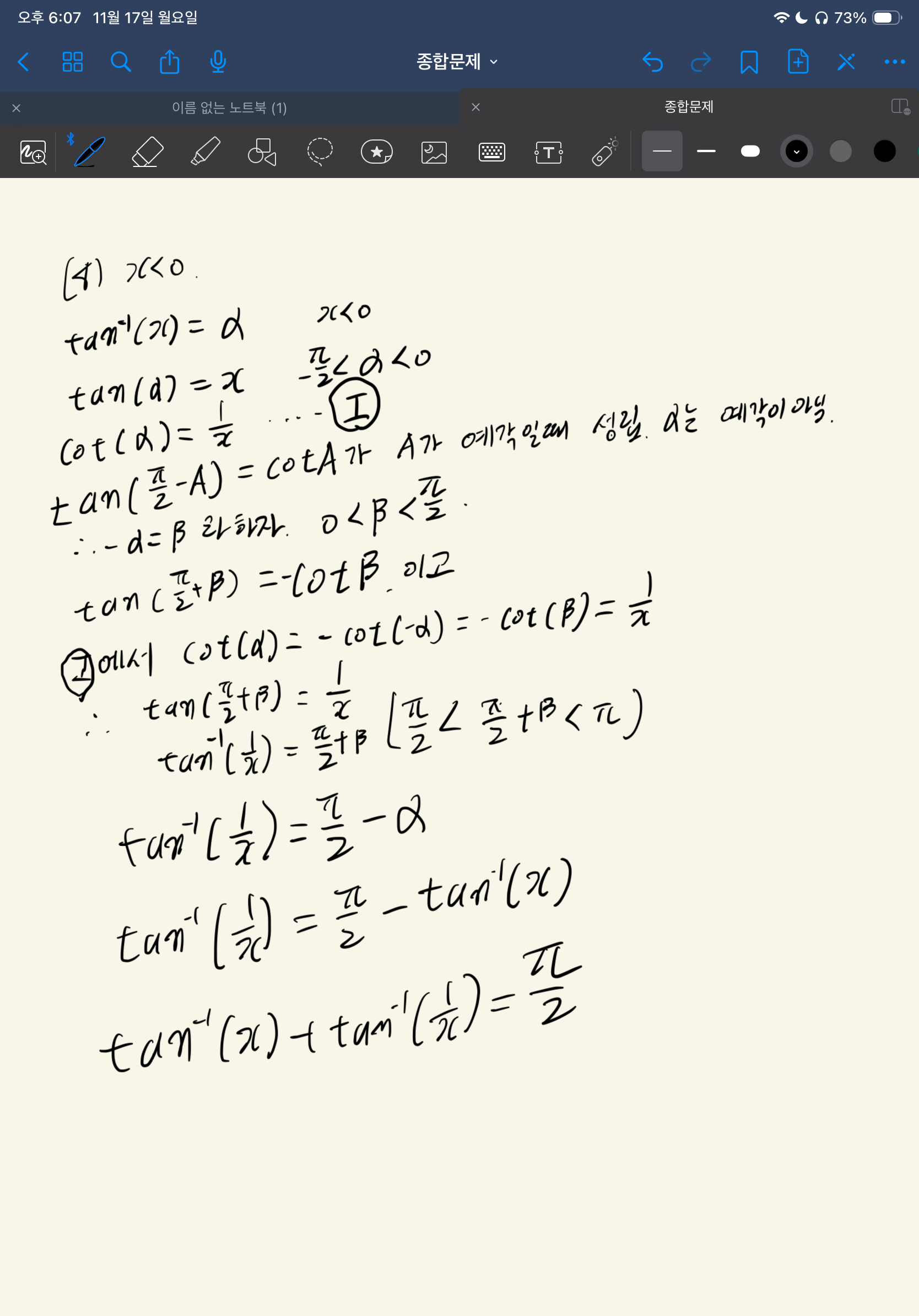
제 풀이의 오류가 뭔지 모르겠습니다. 답변 완료된 질문과 답변은 수정 및 삭제가 불가합니다. |
|||
- 댓글
- 0
관*자




안녕하세요.
유니스터디 임계수입니다.
질문에 대한 답변입니다.




- 2025-11-18
























