| 제목 | 답변완료 공학수학1 p174 예제 3.20 질문입니다 | ||
|---|---|---|---|
| 질문유형 | 학습방법 | 교수님 | 임계수 |
| 과목 | 공학수학 | 강좌명 | [공학수학] 공학수학1 : 상미분방정식과 라플라스변환 |
| 작성자 | 이*영 (j******0) | 등록일 | 2025-01-08 15:11 |
| 첨부파일 | |||
|
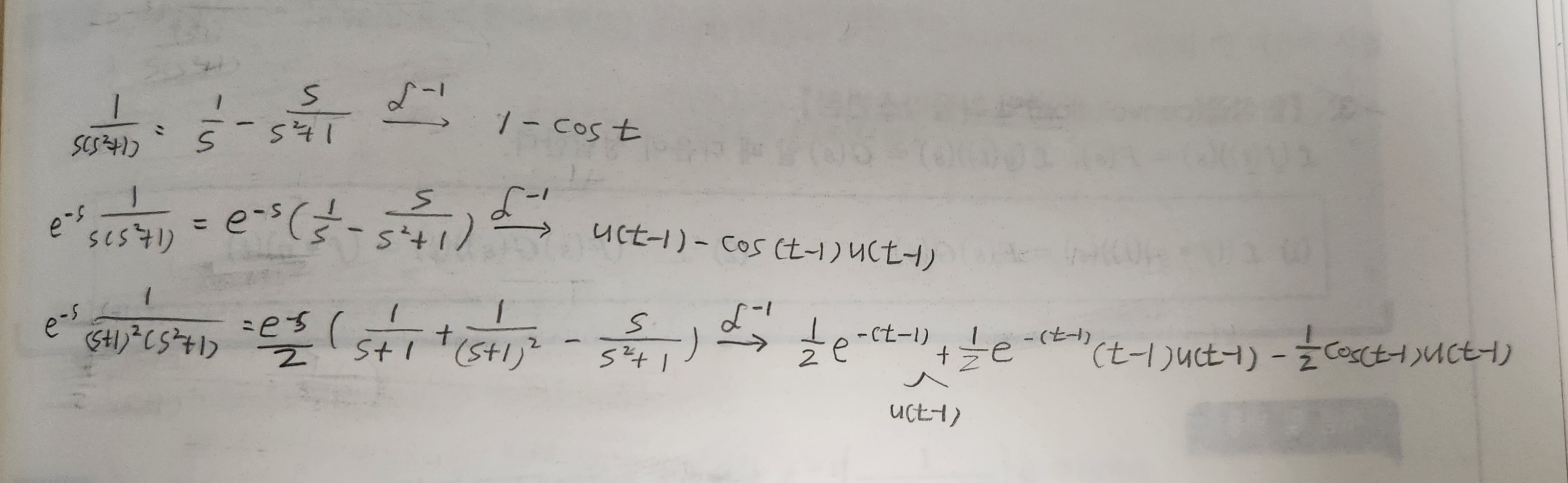
풀이과정중 오류가 있었는지 y(t)값이 답지와 동일하게 나오지 않습니다 풀이과정이 궁금합니다 답변 완료된 질문과 답변은 수정 및 삭제가 불가합니다. |
|||
- 댓글
- 0
관*자


안녕하세요.
유니스터디 임계수입니다.
질문에 대한 답변입니다.


- 2025-01-10
























