| 제목 | 답변완료 미적분학 2019 part2 26강 합성함수 극한 질문입니다 | ||
|---|---|---|---|
| 질문유형 | 강좌내용 | 교수님 | 임계수 |
| 과목 | 강좌명 | ||
| 작성자 | 이*찬 (d*********9) | 등록일 | 2024-12-11 18:21 |
| 첨부파일 | |||
|
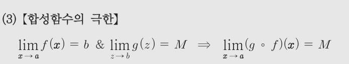
교재 83페이지 [합성함수의 극한] 파트 질문입니다. z->b일 때 g->M이라는 뜻은 z!=b일 때를 의미하는데, x->a(벡터)일 때 f->b라는 것에서 f!=b를 의미하지는 않기 때문에, 만약 이 경우 f=b인 상태로 수렴한다면 합성함수의 극한은 g(b)로 수렴하므로 M이라고 말할 수 없다고 생각해서 질문드립니다. 물론 g라는 함수가 연속이라고 제시되어있다면 문제되지 않겠지만 저 내용에 그런 언급이 없어서요. 감사합니다. 답변 완료된 질문과 답변은 수정 및 삭제가 불가합니다. |
|||
- 댓글
- 0
관*자
안녕하세요.
유니스터디 임계수입니다.
질문에 대한 답변입니다.
- 2024-12-13
- 2024-12-23 수정
























