| 제목 | 답변완료 [미분적분학1 (Ver.2023) 기본+심화] / 140강 / 312pg/ 예제 2.12 | ||
|---|---|---|---|
| 질문유형 | 강좌내용 | 교수님 | 임계수 |
| 과목 | 강좌명 | ||
| 작성자 | 유*원 (b****8) | 등록일 | 2024-12-11 12:26 |
| 첨부파일 | |||
|
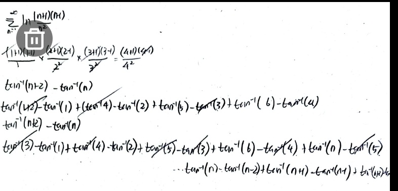
안녕하십니까 교수님. 예제 2.12와 예제 2.14 모두 Sn을 구하여서 문제를 풀었습니다. 하지만 이런 식으로 풀다 보니 시간도 많이 걸리고 중간에 계산 실수도 많이 발생하게 되는데 일반항 판정법만 배운 상태로는 무한급수의 정의로 문제를 풀어야 한다고 하셨는데 이런 식으로 푸는 것이 맞는지 궁금합니다.
또한 예제 2.14번 같은 경우 중간항이 소거되고 남는 항들은 제가 계산한 결과 -arctan(1)-arctan(2)+arctan(k+1)+arctan(k+2)로 -arctan(2)로 인해 계산이 되지 않습니다. 풀이 부탁드립니다. 답변 완료된 질문과 답변은 수정 및 삭제가 불가합니다. |
|||
- 댓글
- 0
관*자
안녕하세요.
유니스터디 임계수입니다.
질문에 대한 답변입니다.



- 2024-12-13
- 2024-12-23 수정
























