| 제목 | 답변완료 미적분학1 5단원 종합문제 풀이에 관한 질문, 6단원 곡면의 넓이와 회전체의 표면적 질문 | ||
|---|---|---|---|
| 질문유형 | 강좌내용 | 교수님 | 임계수 |
| 과목 | 강좌명 | ||
| 작성자 | 이*환 (w******1) | 등록일 | 2024-12-04 00:18 |
| 첨부파일 | |||
|
안녕하세요 교수님! 잦은 질문 죄송합니다. 빠르게 가겠습니다.
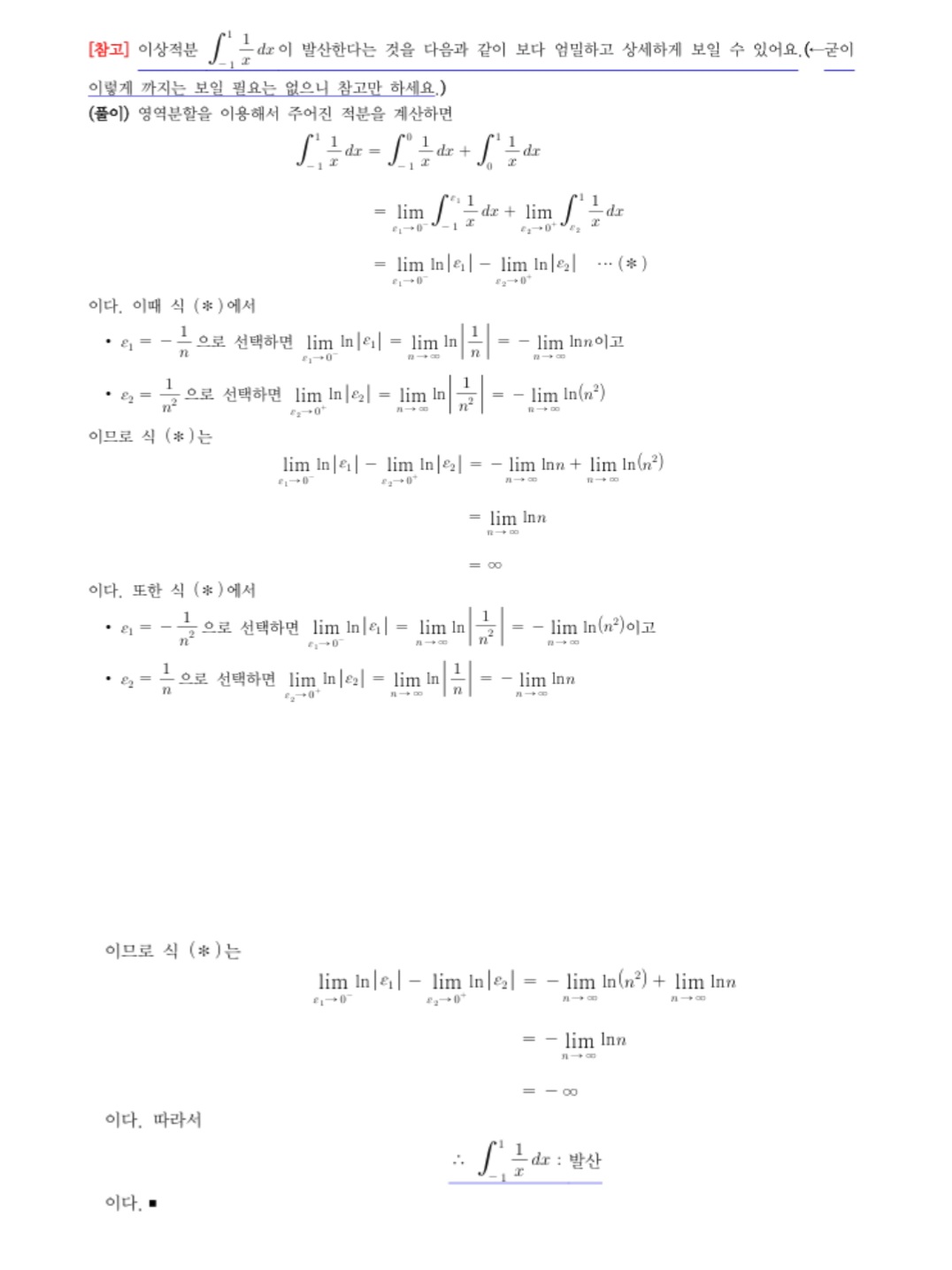
1. 저번에 질문드렸던 문제에 답해주신 풀이를 참고하며 풀어보던 중 의아한 점이 있어 질문드립니다. 미적분학1 5단원 종합문제 120번 보기 (나)의 풀이 중 사실 풀이가 의아했는데 교수님의 [참고]라고 표기하신 별도의 추가 풀이를 보고 이해하였습니다. 즉, 입실론1과 입실론2가 부호만 반대인 같은 값으로 발산하는 듯이 보여 (나)보기를 0으로 수렴한다고 착각할 수 있지만, "0으로 접근하는 경로"가 동일하다는 보장이 없어 최종적으로 발산한다. 라고 이해하였는데 제가 이해한 바가 맞는지 궁금합니다!
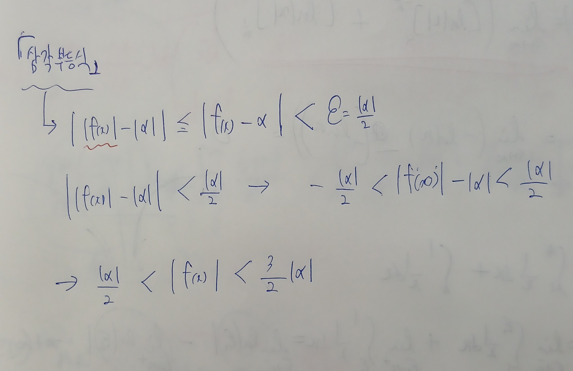
2. 동일한 문제 5단원 종합문제 120번 (다)의 풀이를 보는 중 의아한 점이 생겼습니다. 만약 "삼각부등식"을 쓴다면 f(x)가 양수라는 보장이 없기 때문에 제가 자필로 쓴 부분처럼 부등식을 세워야 하지 않나요? 그리고 풀이 도중에 적분기호가 들어가니까 부등호를 만족하던 식이 부등호에 등호까지 만족하는 식으로 바뀌었습니다. 예전에 교수님께서 극한을 취하면 등호가 추가되는 부등식을 보여준 적이 있어 느낌적, 직관적으로는 정적분을 취해줘도 부등식이등호가 추가될 것 같긴 하지만 예시가 잘 안 들어집니다. 정적분을 취하기 전 순수한 부등호로 나타내진 식이 정적분을 취하면 등호가 포함된 부등호로 바뀔 수 있나요? 넓이와 비슷한 개념인데도요?
3. 6단원 곡면의 넓이와 표면적 문제가 교재 247쪽에 있습니다. 예제 5.3은 교수님과 같이 풀었고 5.5는 혼자 풀어보았습니다. 그런데 5.3에서 나타나는 곡면은 외부면과 내부의 곡면이 존재하는데 곡면의 넓이를 구하라고 하면 자동적으로 겉과 속 중 하나의 면의 넓이만 계산하면 되는 건가요? 제시된 답을 보면 형성된 곡면의 한쪽면만 구한 것이 되는데 2를 곱하여서 겉과 안의 모든 면을 구해줘야 하는 것 아닌가요?
또한 혼자 5.5를 풀고 답을 보니 회전체의 겉널이 중 위와 아래의 평평한 천장과 바닥의 넓이는 포함되지 않은 답이던데, 원래 문제에서 영억을 제시하고 회전을 시켜 부피가 존재하는 회전체가 형성되어도 겉넓이에서 위아래 평평한 면을 제해야 하나요?
항상 재밌게 강의듣고 있습니다. 감사합니다.
답변 완료된 질문과 답변은 수정 및 삭제가 불가합니다. |
|||
- 댓글
- 0
안녕하세요.
유니스터디 임계수입니다.
질문에 대한 답변입니다.


- 2024-12-06
- 2024-12-12 수정
























