| 제목 | 답변완료 pg.118 예제 1.13 | ||
|---|---|---|---|
| 질문유형 | 강좌내용 | 교수님 | 임계수 |
| 과목 | 공학수학 | 강좌명 | |
| 작성자 | 도*환 (s****8) | 등록일 | 2024-10-06 15:11 |
| 첨부파일 | |||
|
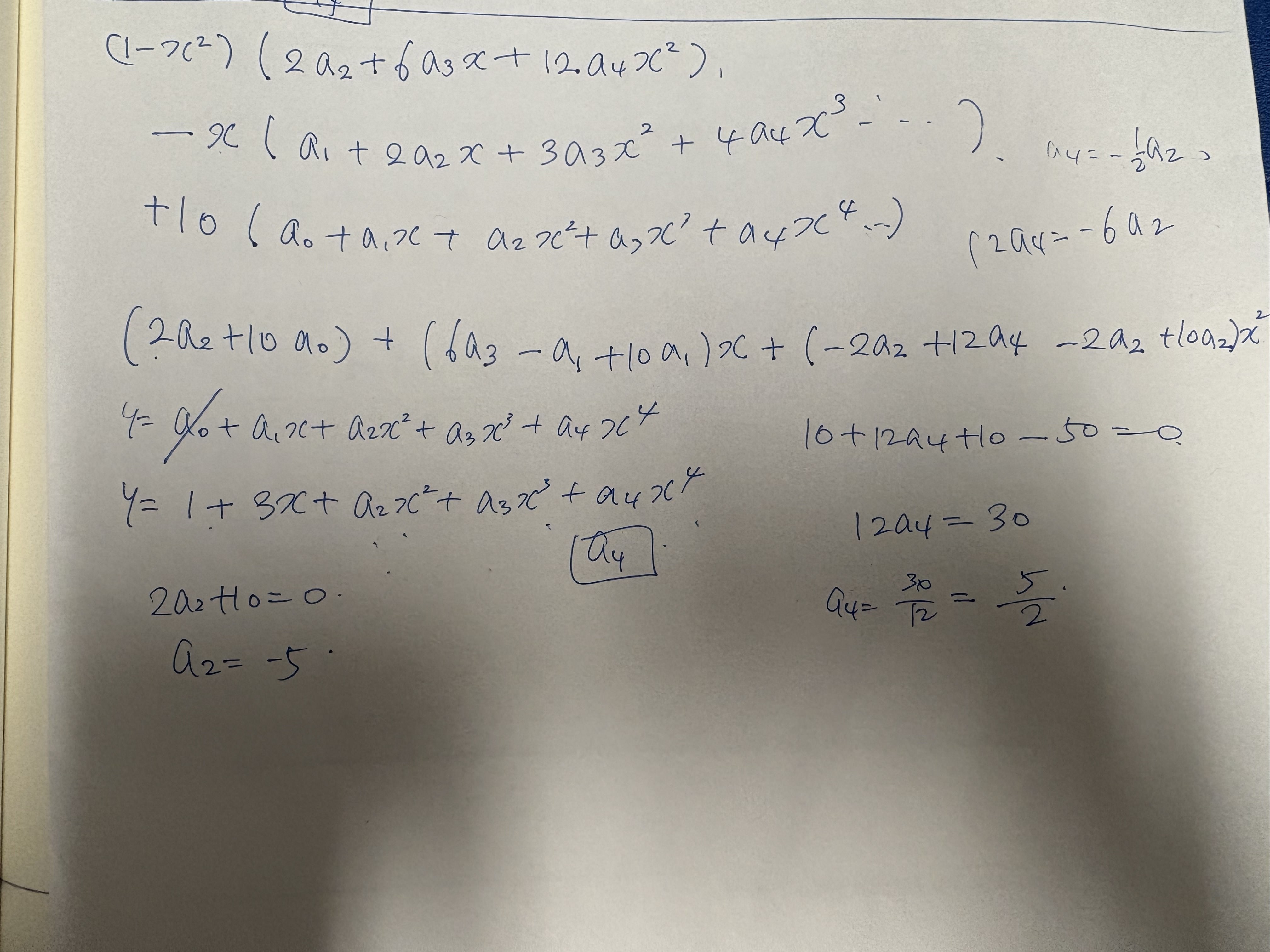
안녕하세요 교수님 항상 정확하고 친절한 답변 감사드립니다
전개하여 풀었는데 답이 5/2가 나옵니다
답변 완료된 질문과 답변은 수정 및 삭제가 불가합니다. |
|||
- 댓글
- 0
관*자
안녕하세요. 유니스터디 임계수입니다.
질문에 대한 답변입니다.



- 2024-10-08
- 2024-12-12 수정
























