| 제목 | 답변완료 [미분적분학2] p37 종합1.26 문제 질문 드립니다 | ||
|---|---|---|---|
| 질문유형 | 강좌내용 | 교수님 | 임계수 |
| 과목 | 강좌명 | ||
| 작성자 | 정*윤 (s*********2) | 등록일 | 2024-07-22 10:28 |
|
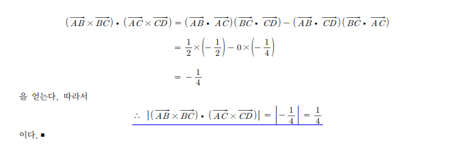
(AB·AC)(BC·CD)-(AB·CD)(BC·AC) 주어진 식을 위와 같이 스칼라 삼중곱의 성질을 이용하여 전개한 뒤, 내적의 정의에 따라 이를 아래의 식과 같이 벡터의 크기와 사잇각에 대해 나타내었습니다. (|AB||AC|cos60)(|BC||CD|cos60)-(|AB||CD|cos?)(|BC||AC|cos60)
여기서, 벡터 AB와 CD의 사잇각이 얼마인지는 어떻게 알 수 있을까요? 그리고 해당 부분만 해결하여 (?) 부분에 적당한 각도를 대입하면 정확한 답을 도출할 수 있을까요?
미리 답변 감사드립니다. 답변 완료된 질문과 답변은 수정 및 삭제가 불가합니다. |
|||
- 댓글
- 0
관*자
안녕하세요. 유니스터디 임계수입니다. 질문에 대한 답변입니다 
- 2024-07-23
- 2024-12-12 수정























