| 제목 | 답변완료 [미분적분학2] p35 종합1.14 문제 질문 드립니다 | ||
|---|---|---|---|
| 질문유형 | 강좌내용 | 교수님 | 임계수 |
| 과목 | 강좌명 | ||
| 작성자 | 정*윤 (s*********2) | 등록일 | 2024-07-22 02:03 |
|
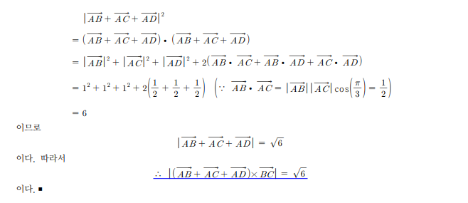
해당 문제를 해결하기 위해 첫 시작점으로 어떤 개념을 떠올려 접근해야 할 지 모르겠어서 이렇게 질문드립니다. 미리 답변 감사합니다. 답변 완료된 질문과 답변은 수정 및 삭제가 불가합니다. |
|||
- 댓글
- 0
관*자
안녕하세요. 유니스터디 임계수입니다.
질문에 대한 답변입니다


- 2024-07-23
- 2024-12-12 수정























