| 제목 | 답변완료 7장 매개방정식과 극좌표 질문입니다. | ||
|---|---|---|---|
| 질문유형 | 강좌내용 | 교수님 | 임계수 |
| 과목 | 강좌명 | ||
| 작성자 | 유*현 (y*****5) | 등록일 | 2024-07-21 18:56 |
|
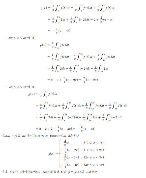
p.296 종합문제 7.23이 도저히 풀리지 않아서 질문 드립니다.
f(t)함수를 f(t) = 2 , ( t = 0 ~ t = π) f(t) = -2 , ( t = π ~ t = 2π) f(t) = 2 , ( t = 2π ~ t = 3π) f(t) = -2 , ( t = 3π ~ t = 4π)
까지는 쪼갰는데, 이를 g(x) 에 적용하기가 쉽지 않습니다.
답변 완료된 질문과 답변은 수정 및 삭제가 불가합니다. |
|||
- 댓글
- 0
관*자
안녕하세요. 유니스터디 임계수입니다.
질문에 대한 답변입니다


- 2024-07-23
- 2024-12-12 수정























