| 제목 | 답변완료 미적분 올인원 함수의 극한 부분을 모르겠습니다 | ||
|---|---|---|---|
| 질문유형 | 학습방법 | 교수님 | 임계수 |
| 과목 | 기초수학 | 강좌명 | |
| 작성자 | 양*제 (e*********1) | 등록일 | 2024-07-21 16:39 |
| 첨부파일 | |||
|
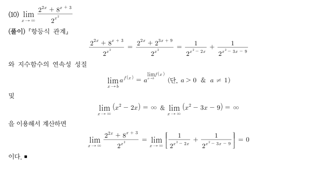
96페이지 문제에서 5.6.8.9.10번 문제를 풀이를 모르겠습니다
답변 완료된 질문과 답변은 수정 및 삭제가 불가합니다. |
|||
- 댓글
- 0
관*자
안녕하세요. 유니스터디 임계수입니다.
질문에 대한 답변입니다



- 2024-07-23
- 2024-12-12 수정























