| 제목 | 답변완료 미적분학2 이중적분응용 p.233 예제 3.7 | ||
|---|---|---|---|
| 질문유형 | 강좌내용 | 교수님 | 임계수 |
| 과목 | 강좌명 | ||
| 작성자 | 도*환 (s****8) | 등록일 | 2024-07-16 13:52 |
| 첨부파일 | |||
|
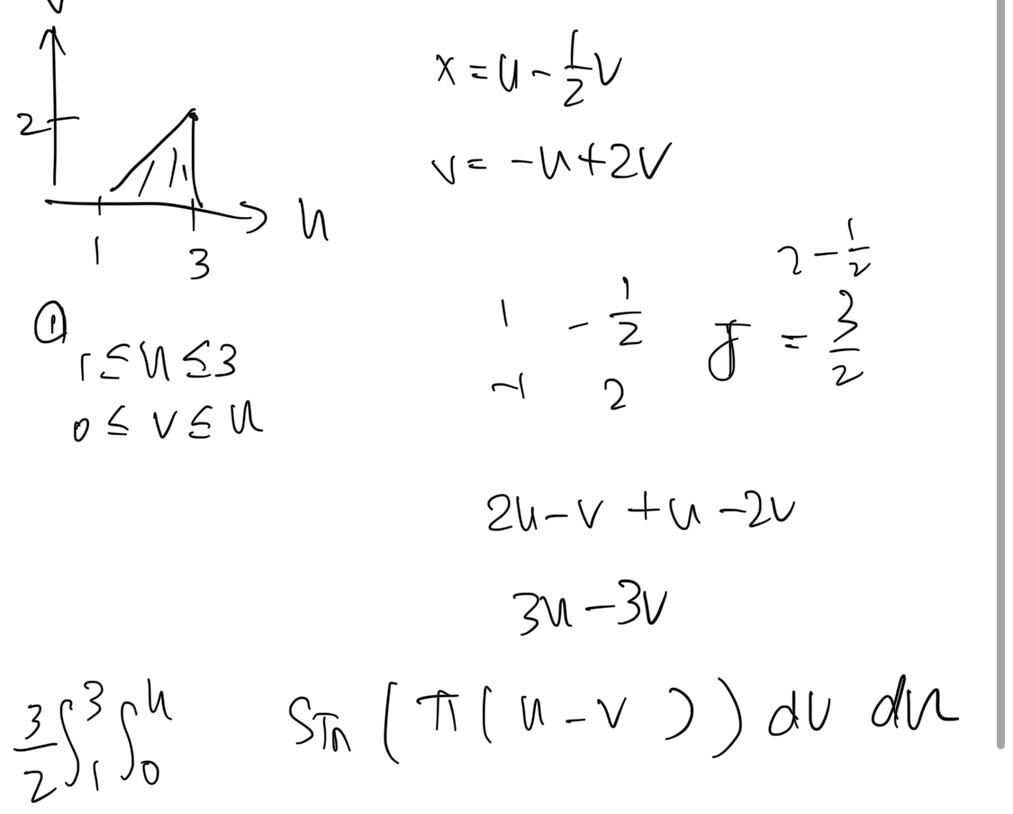
안녕하세요 교수님 제 풀이 대로 계산하니 답과 유사한 3 / pi 가 나왔지만 답은 - 3 / pi 입니다
계산이 잘못된 거 같지는 않은데 혹시 제 식에 오류가 있을까요?
감사합니다 답변 완료된 질문과 답변은 수정 및 삭제가 불가합니다. |
|||
- 댓글
- 0
관*자
안녕하세요. 유니스터디 임계수입니다.
질문에 대한 답변입니다.

- 2024-07-17
- 2024-12-12 수정























