| 제목 | 답변완료 미적분학1 비판정법과 제곱근판정법 문제풀이 강의 2 | ||
|---|---|---|---|
| 질문유형 | 강좌내용 | 교수님 | 임계수 |
| 과목 | 강좌명 | ||
| 작성자 | 김*진 (w*******5) | 등록일 | 2024-06-06 15:09 |
| 첨부파일 | |||
|
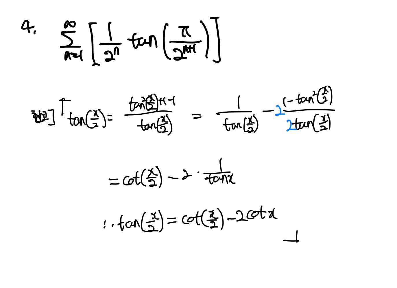
강의에서 안 풀어주신 6.8문제가 궁금합니다. 답변 완료된 질문과 답변은 수정 및 삭제가 불가합니다. |
|||
- 댓글
- 0
관*자
안녕하세요. 유니스터디 임계수입니다.
질문에 대한 답변입니다.


- 2024-06-11
- 2024-12-12 수정























