| 제목 | 답변완료 회로이론 문제 질문 | ||
|---|---|---|---|
| 질문유형 | 강좌내용 | 교수님 | 양진목 |
| 과목 | 회로이론 | 강좌명 | |
| 작성자 | 김*준 (3********8) | 등록일 | 2024-05-25 23:57 |
| 첨부파일 | |||
|
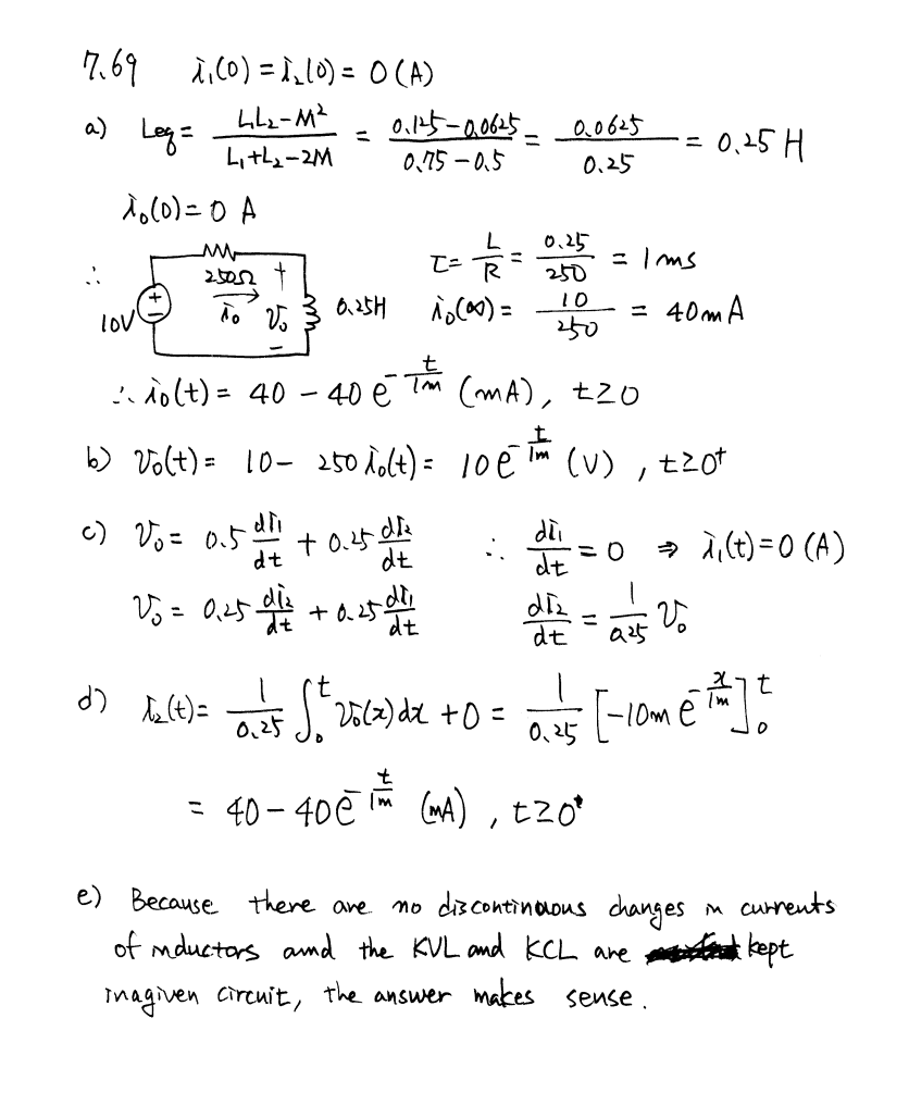
i0(inf) 가 40mA 가 나오는 과정에서 인덕터는 단락으로 보고 저항과 전압이 직렬이여서 전압이 같다로 도출해낸 식인가요? 답변 완료된 질문과 답변은 수정 및 삭제가 불가합니다. |
|||
- 댓글
- 0
안녕하세요. 양진목입니다.
2. solution은 io를 따라 KVL을 적용해서 푼 것입니다. 당연히 V0(t) = Leq di0/dt을 써도 됩니다.
3. -가 붙는게 맞습니다.
4. 논리 순서를 잘 보세요. c에서 di1/dt, di2/dt를 먼저 구하고 이것을 적분한 것입니다.
상호인덕턴스의 전압, 전류관계에서 di1/dt, di2/dt를 vo에 관한 식으로 먼저 구해야만 가능합니다.
답변이 되었는지 모르겠습니다.
그럼 안녕히계세요.
- 2024-05-31
- 2024-12-12 수정























