| 제목 | 답변완료 회로이론 질문 | ||
|---|---|---|---|
| 질문유형 | 강좌내용 | 교수님 | 양진목 |
| 과목 | 회로이론 | 강좌명 | |
| 작성자 | 김*준 (3********8) | 등록일 | 2024-05-25 16:56 |
| 첨부파일 | |||
|
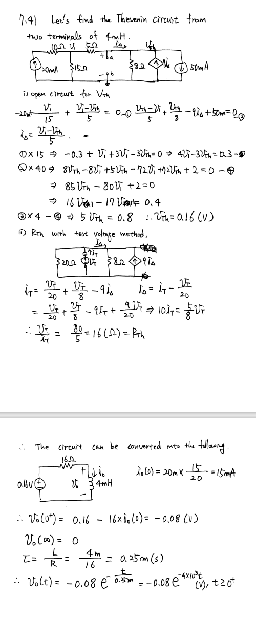
솔루션은 테스트전원법으로 한 방에 구하지 않고 Vth와 Rth를 각각 구한 것 같은데 테스트전원법으로 어떻게 구하는지 보여 주실 수 있을까요 ㅜㅠㅜ?
단순히 오픈된 a b 단자에서 바라본 테브넌 등가회로를 구하여라. 이러면 VT와 iT를 달고 마디전압법으로 구할 수 있겠는데, 답변 완료된 질문과 답변은 수정 및 삭제가 불가합니다. |
|||
- 댓글
- 0
양*목
교수님
안녕하세요. 양진목입니다.
1. 우선 본인의 풀이를 보여주시고 막히는 부분을 질문해주세요. 단순한 문제풀이에 대한 요청에는 답변드리지 않습니다.
2. 1차 회로가 RL/RC부분끼리 나누는 것이 시상수 구할 때 편리하기 때문입니다.
그럼 안녕히계세요.
- 2024-05-31
- 2024-12-12 수정























