| 제목 | 답변완료 회로 질문 | ||
|---|---|---|---|
| 질문유형 | 강좌내용 | 교수님 | 양진목 |
| 과목 | 회로이론 | 강좌명 | |
| 작성자 | 김*준 (3********8) | 등록일 | 2024-05-25 00:34 |
| 첨부파일 | |||
|
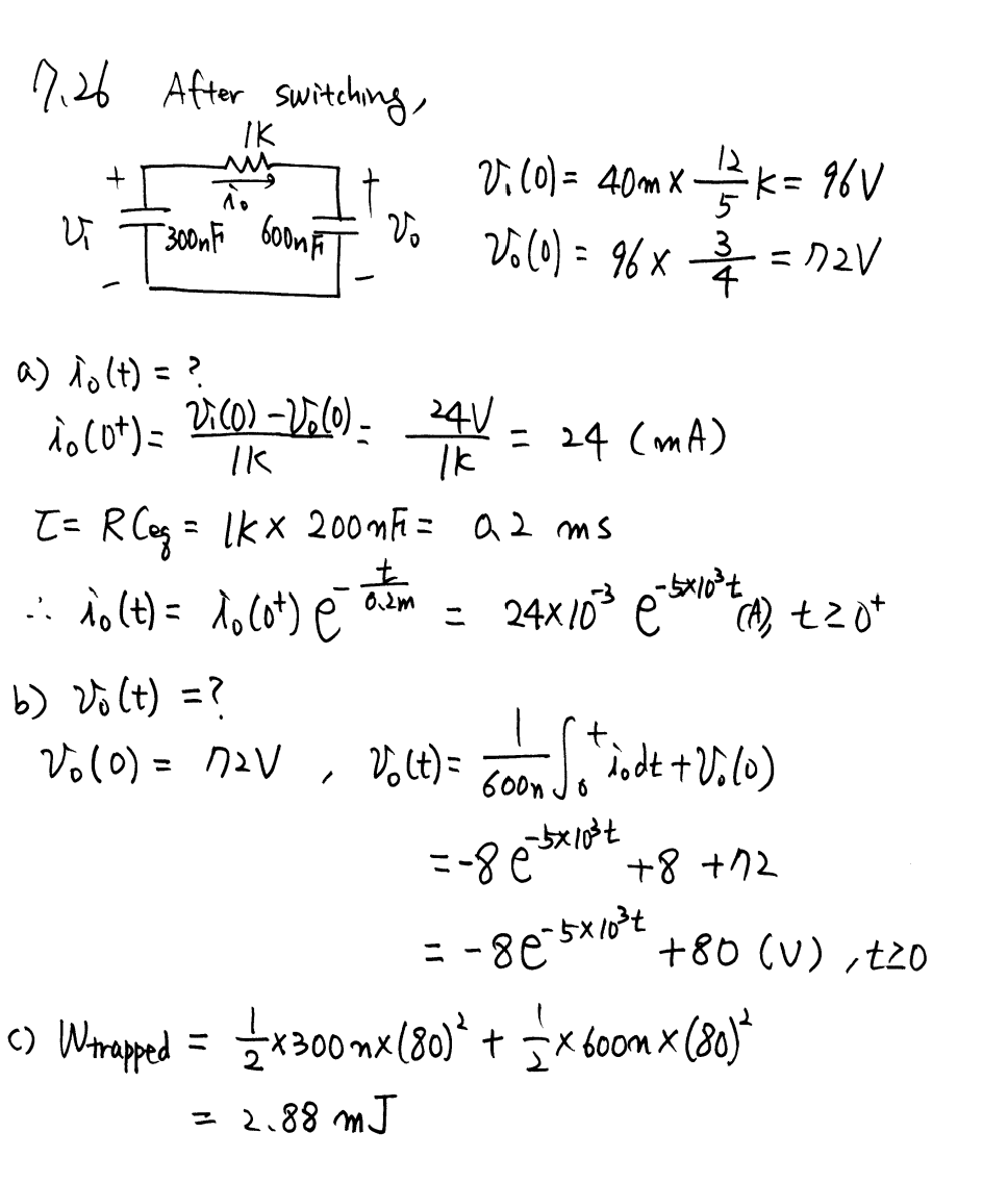
너무 어렵네요.. ㅠㅠ 일단 제가 해보려고 시도한 사고회로부터 설명하면 답변 완료된 질문과 답변은 수정 및 삭제가 불가합니다. |
|||
- 댓글
- 0
안녕하세요. 양진목입니다.
1. t<0과 t>0 범위의 회로를 반대로 그리셨습니다. 문제에서 나와있듯이 스위치가 t<0에서 closed상태입니다.
그리고 t=0-에서 커패시터가 개방상태이므로 이 상태에서 본인이 아는 방법들(전류분배, 전압분배, 마디전압법, 망로전류법 등)을 적용해보세요.
2. t>0에서는 C1, C2, R이 직렬연결이므로 io는 이 세 소자에 공통으로 흐르는 전류가 맞습니다.
3. 저도 솔루션처럼 풉니다.
답변이 되었는지 모르겠습니다.
그럼 안녕히계세요.
- 2024-05-31
- 2024-12-12 수정























