| 제목 | 답변완료 회로 질문 | ||
|---|---|---|---|
| 질문유형 | 강좌내용 | 교수님 | 양진목 |
| 과목 | 회로이론 | 강좌명 | |
| 작성자 | 김*준 (3********8) | 등록일 | 2024-05-24 22:53 |
| 첨부파일 | |||
|
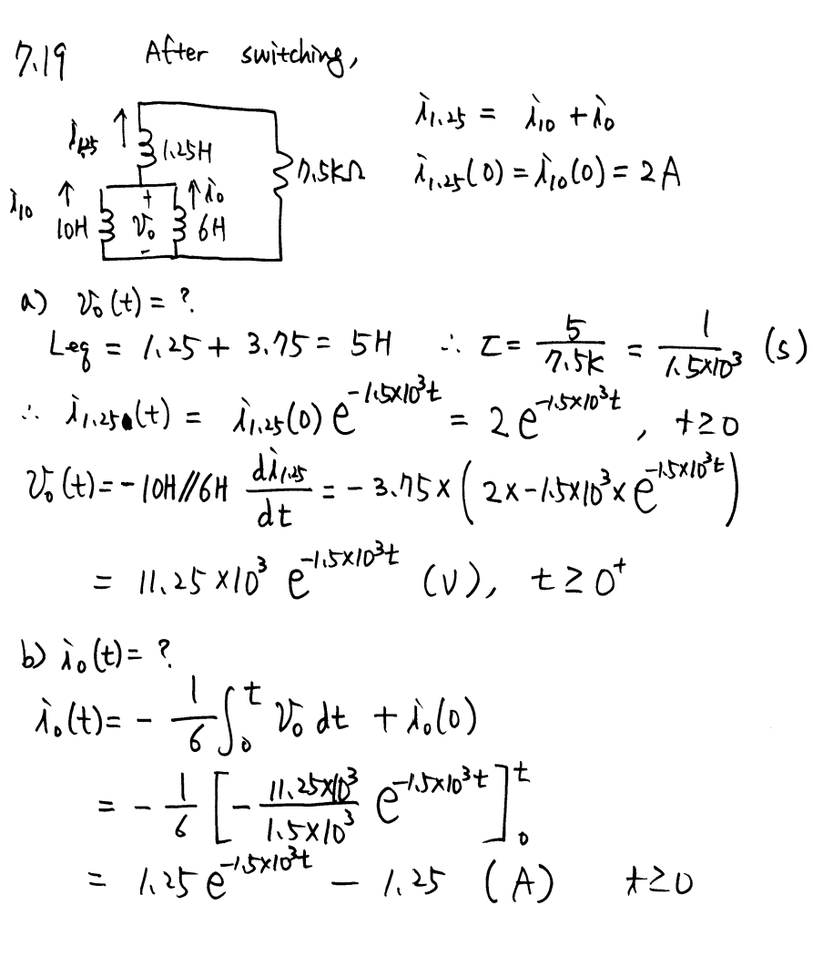
1. 1.25H에 흐르는 전류는 10H, 6H에 흐르는 전류의 합과 같은 것은 알겠는데, t=0에서 6H에 흐르는 전류가 왜 0A 인지 모르겠습니다. 답변 완료된 질문과 답변은 수정 및 삭제가 불가합니다. |
|||
- 댓글
- 0
양*목
교수님
안녕하세요. 양진목입니다.
t=0-에서 (스위치의 상태에 유의하여) 회로도를 그려보세요.
그럼 안녕히계세요.
- 2024-05-31
- 2024-12-12 수정























