| 제목 | 답변완료 회로이론 질문 | ||
|---|---|---|---|
| 질문유형 | 강좌내용 | 교수님 | 양진목 |
| 과목 | 회로이론 | 강좌명 | |
| 작성자 | 김*준 (3********8) | 등록일 | 2024-05-24 21:25 |
| 첨부파일 | |||
|
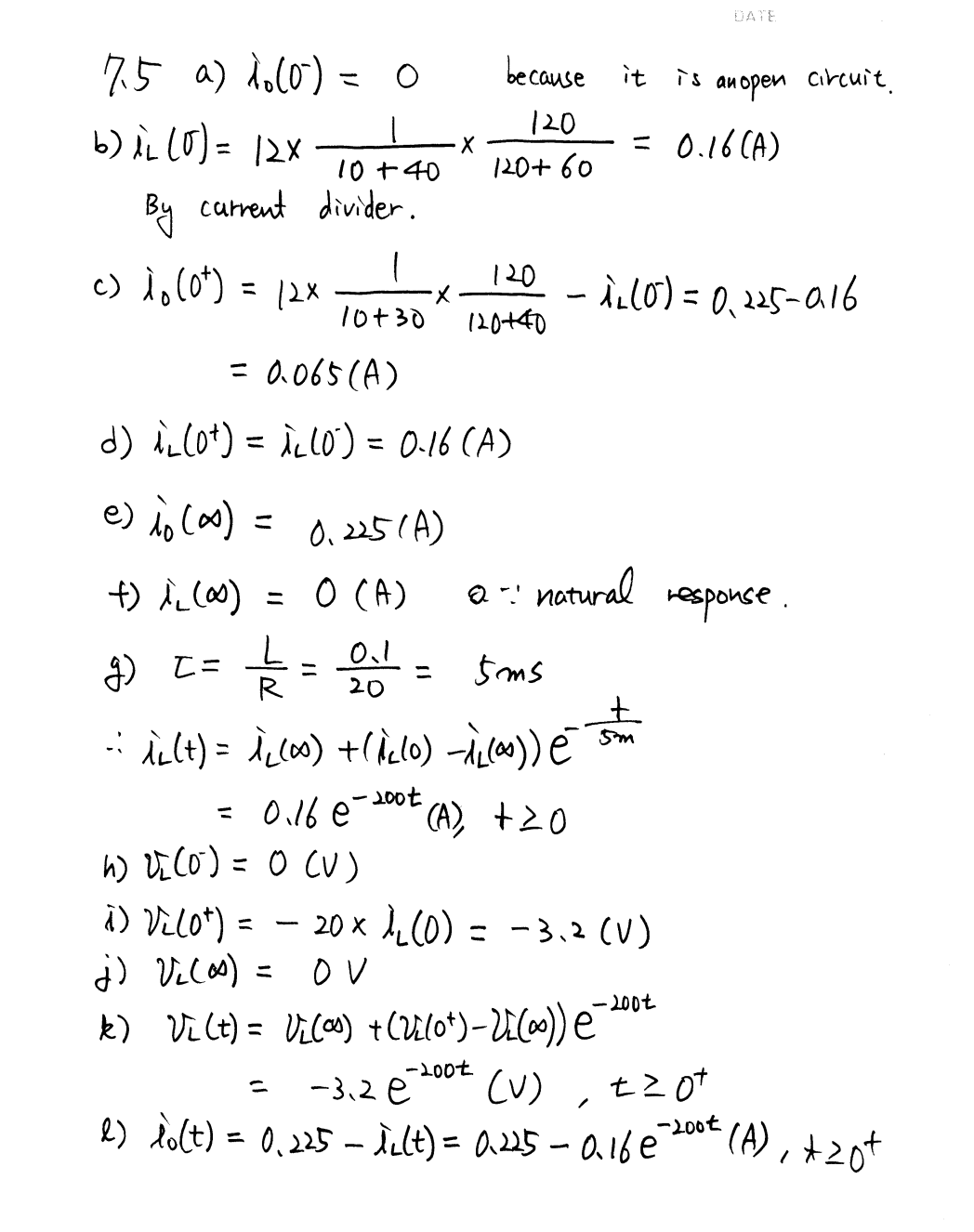
(b)번에서 등가저항으로 바꾼 후 전압 차가 같다는 것으로 i 의 값을 구하여 120옴과 40옴의 전류분배를 쓰면 틀린 풀이인가요? 답변 완료된 질문과 답변은 수정 및 삭제가 불가합니다. |
|||
- 댓글
- 0
안녕하세요. 유니스터디 담당자입니다.
강의에 나오지 않는 내용에 대한 풀이나 해설,
동일한 내용의 다량의 학습 질문에 대해서는 답변이 어렵습니다.
과제대행, 부정행위 등의 문제를 야기할 수 있어 답변드릴 수 없는 점 참고 부탁드립니다.
감사합니다.
- 2024-05-28
- 2024-12-12 수정























