| 제목 | 답변완료 회로이론 문제 질문 | ||
|---|---|---|---|
| 질문유형 | 강좌내용 | 교수님 | 양진목 |
| 과목 | 회로이론 | 강좌명 | |
| 작성자 | 김*준 (3********8) | 등록일 | 2024-05-09 11:03 |
| 첨부파일 | |||
|
솔루션이 이해가 가지 않는 부분과, 제가 잘 해석해서 풀어낸것이 맞는지에 대해 몇가지 질문을 하고싶습니다. 답변 완료된 질문과 답변은 수정 및 삭제가 불가합니다. |
|||
- 댓글
- 0
안녕하세요. 양진목입니다.
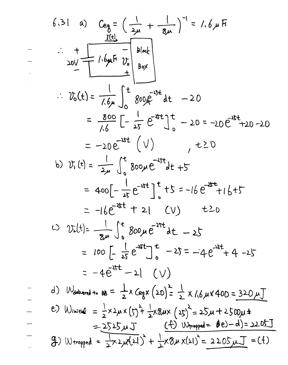
(a), (b), (c)
어느 소자의 v, i가 그 소자에 대해서 수동부호규정을 만족시키는지 여부는 초기값 v(0)의 극성, i(0)의 방향이 아니고 문제에서 주어진 v의 극성, i의 방향에 의해서 결정됩니다.
그래서 아래의 첨부사진에 나와 있는 것처럼 v1(0), v2(0)의 극성을 무시하고 v1(t), v2(t)의 극성과 i(t)의 방향으로 해당 소자가 수동부호규정을 만족시키는지를 판단하면 두 커패시터 모두 수동부호규정을 만족시키고 black box는 수동부호규정을 만족시키지 않습니다. 수동부호규정을 만족시키는 경우 적분 시 -i가 아니고 +i를 대입해야 합니다.

(d) 네, 맞습니다. v1, v2를 각각 구해서 풀어도 되고 에너지 보존법칙으로 구해도 됩니다.
오리지널 회로의 공급에너지와 등가회로의 공급에너지가 같은 것은 아래와 같이 증명할 수 있습니다.
(훨씬 간단한 증명이 있지만 제가 배울 때와 가르칠 때의 경험상 아래와 같이 좀 복잡한 증명이 직관적으로 잘 전달되는 것 같습니다.)

(f) 네, 맞습니다.
(+) `구하고자 하는 소자는 없다 .`라는 말의 무슨 뜻인지 모르겠습니다. 좀더 자세히 설명해주시면 정확한 답변을 드리는데 도움이 될 것 같습니다.
답변이 되었는지 모르겠습니다.
그럼 안녕히계세요.
P.S) 혹시 제가 답변드린 내용에 대해 질문이 있으면 댓글형식으로 하지 마시고 새로 게시글을 올려주세요.
학원 게시판이 댓글이 달렸는지 확인하기 어렵게 되어 있어서 그런 것이니 미리 양해 구합니다.
- 2024-05-10
- 2024-12-12 수정























