| 제목 | 답변완료 회로이론 문제 질문 | ||
|---|---|---|---|
| 질문유형 | 강좌내용 | 교수님 | 양진목 |
| 과목 | 회로이론 | 강좌명 | |
| 작성자 | 김*준 (3********8) | 등록일 | 2024-05-06 16:17 |
| 첨부파일 | |||
|
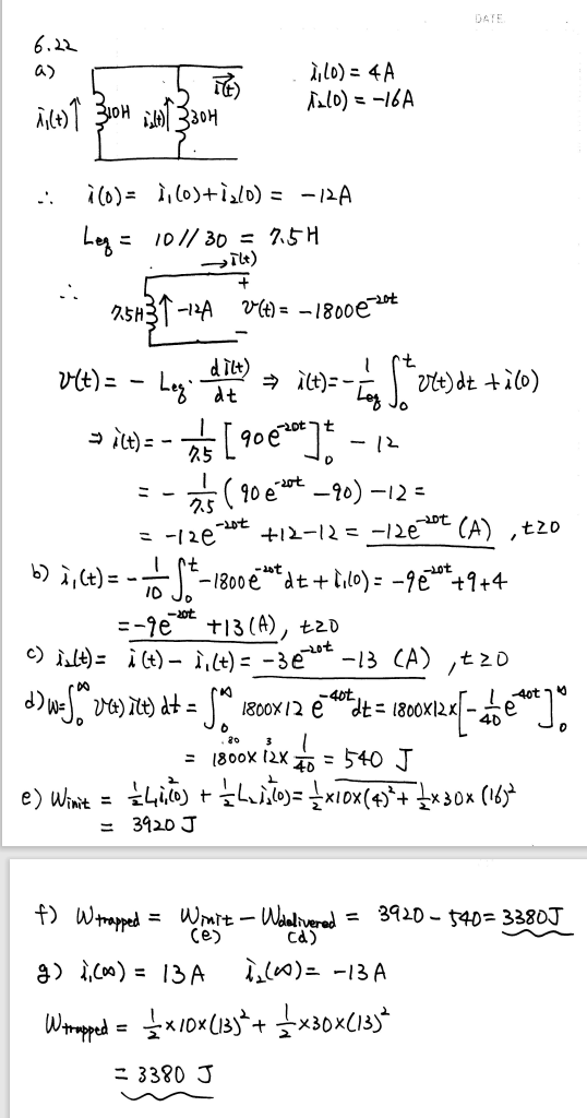
문제와 풀이과정, 그리고 해설지 인데 이해가 안가는 부분이 많습니다. 답변 완료된 질문과 답변은 수정 및 삭제가 불가합니다. |
|||
- 댓글
- 0
1. 아! 제가 식을 틀리게 썼습니다. 죄송합니다.
E=1/2*10*i1(0)² +1/2*30*i2(0)² 가 아니고
E=1/2*10*i1(∞ )² +1/2*30*i2(∞ )² 가 맞습니다.(solution g의 풀이와 같습니다.)
2. 그냥 에너지와 전력의 일반 식을 이용하여 아래와 같이 증명이 가능합니다.

- 2024-05-08
- 2024-12-12 수정























