| 제목 | 답변완료 [대학물리학] Serway 대학물리학 1/이차원에서의 운동/85페이지/연습문제 16번 | ||
|---|---|---|---|
| 질문유형 | 강좌내용 | 교수님 | 이정욱 |
| 과목 | 일반물리학 | 강좌명 | |
| 작성자 | (S**********9) | 등록일 | 2024-04-25 14:12 |
| 첨부파일 | |||
|
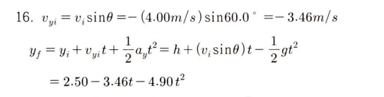
안녕하세요! 대학물리학 강의를 수강 중인 학생입니다.
문제에서 `처음 속도는 수평에서 위쪽 60.0도인 방향으로 4.00m/s이다` 라고 했는데, 솔루션에서 보면 나중 위치를 구하는 식을 쓸 때 4sin60을 하지 않고 그 앞에 (-) 부호가 붙는다고 나와있습니다. 수평에서 위쪽 60도인데 왜 (-)부호가 붙는 건지 궁금합니다.
저번 문제는 선생님 덕분에 잘 해결됐습니다. 감사합니다! 답변 완료된 질문과 답변은 수정 및 삭제가 불가합니다. |
|||
- 댓글
- 0
이*욱
교수님
안녕하세요. 이정욱입니다.
해설지를 보니 부호 표기를 잘못한 것으로 보입니다.
해설지 식을 따라가려면...윗방향을 (+)로 하는 것이 맞습니다.
- 2024-04-26
- 2024-12-12 수정























