| 제목 | 답변완료 11강 1D conduction 부채꼴 모양 강의내용 질문입니다. | ||
|---|---|---|---|
| 질문유형 | 강좌내용 | 교수님 | 권준표 |
| 과목 | 열전달 | 강좌명 | |
| 작성자 | 김*준 (j*****8) | 등록일 | 2024-04-12 00:14 |
| 첨부파일 | |||
|
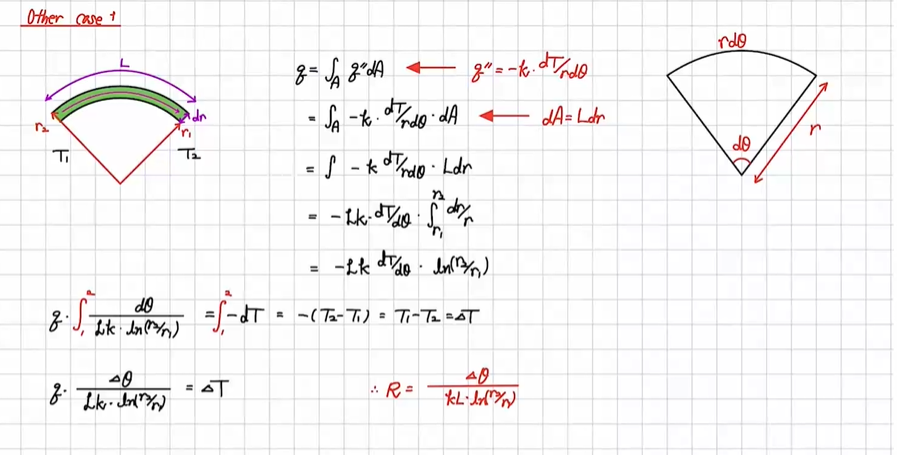
11강 내용(26분 40초)중에서 dA=Ldr인 것이 이해가 되지 않습니다. 그림에서 가장 바깥쪽 호의 길이가 L 이라고 명시되어있습니다. 제가 알기로는 열이 지나가는 방향에 수직인 평면으로 계산을 해야 되는것으로 알고 있었는데, Ldr은 열의 진행방향과 수평인 방향인것같아 질문드립니다. 답변 완료된 질문과 답변은 수정 및 삭제가 불가합니다. |
|||
- 댓글
- 0
안녕하세요.
공지사항에 따른 규칙을 지키지 않고 질문을 하시면
일괄적으로 다시 해달라고 제가 부탁을 드리기 때문에
조금만 더 이해해주시고 규칙에 따라 다시 질문해주시길 부탁드립니다.
(해시태그가 없으면 공지사항을 읽지 않았다고 자동적으로 판단합니다.)
(사진도 반드시 첨부해주세요.)
질문을 잘 하는 것은 좋은 훈련이 되고,
제가 더욱 좋은 답변을 드리는 데에 도움이 됩니다.
조금 불편하시더라도 공지사항 한 번만 읽어주시고
질문해주시면 감사하겠습니다!
그리고 질문하신 내용 중 대부분은
갓준표 사이트(godjunpyo.com)와 갓준표 유튜브 채널에 잘 설명되어 있습니다.
한번 꼭 검색해서 살펴보세요.
마지막으로
갓준표 AI 서비스를 제공하고 있습니다.
링크: https://godjunpyo.com/ask_yoon/
아래 카카오톡 단톡방에 들어 가시면
언제 어디서든 카톡 하나만으로
AI를 활용하여
쉽고 효과적으로 공부하실 수 있습니다.
링크: https://open.kakao.com/o/gDihk1Rf
비번: 5555
감사합니다.
- 2024-04-12
- 2024-12-12 수정























